介紹
如果某信號關於時間t的函式圖像滿足某種對稱關係,則稱該信號為對稱 信號。
分類
對稱信號分為偶對稱信號、奇對稱信號、奇諧信號和偶諧對稱信號四種,這四種信號的的簡稱分別為偶信號、奇信號、奇諧信號、偶諧信號 。
偶信號
對稱信號若信號是時間的偶函式,即,此時波形對稱於縱坐標軸,成為偶對稱信號,簡稱偶信號。
下圖為偶對稱信號的一個例子。
對稱信號奇信號
對稱信號若信號是關於時間t的奇函式,即,此時波形反對稱於縱坐標軸,成為奇對稱信號,簡稱奇信號。
下圖即為奇對稱信號的一個例子,該信號也叫周期鋸齒脈衝信號。
對稱信號奇諧信號
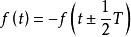
如果信號的前半周期波形沿時間軸平移半個周期後,與後半周期波形對稱於橫軸,即滿足:
對稱信號,則稱其為半波對稱信號,或奇諧信號。
右圖為奇諧信號的一個例子。
對稱信號
對稱信號偶諧信號
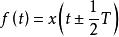
偶諧對稱信號是指周期信號移動半個周期後與原始信號重合,偶諧對稱信號的定義式為
對稱信號下圖為一個偶諧對稱信號的例子。
偶諧信號
