簡介
SNR曲線在實際通信中,將滿足量化器量化信噪比要求的輸人信號取值範圍定義為量化器的動態範圍。在電話通信中,電話語聲信號的動態範圍約40 dB,而高質量長途電話通信要求傳輸線路的信噪比至少應大於28 dB。若在電話語聲信號的數位化過程中採用均勻量化,由於語聲的小信號出現機率大,大信號出現機率小,則均勻量化器在大信號時的量化信噪比大,在小信號時的量化信噪比難以達到要求,如下圖所示,因而均勻量化器的動態範圍受到較大限制。若採用最佳Max量化器,則在實時實現上有難度,因而為滿足電話通信質量的要求,人們提出了對數壓擴的非均勻量化方法,從下圖看出,有壓擴的量化性能優於無壓擴的均勻量化性能,量化器動態範圍擴大,雖然其量化性能比理論上的最佳量化性能稍差,但能滿足長途電話通信的質量要求(在輸入信號的動態範圍內,量化信噪比滿足要求)。
基本原理
對數量化器原理框圖對電話信號的量化,希望量化器對於小信號具有小的量化間隔,對於大信號具有大的量化間隔,使得當量化器的輸入信號幅度在相當大的動態範圍變化時,量化器的輸出保持近似相同的量化信噪比,從而擴大了量化器的動態範圍。
實現非均勻量化的方法是:在傳送端將輸入信號通過一對數放大器,對信號幅度非線性壓縮,然後進行均勻量化、編碼。在接收端進行反變換:解碼後,通過反對數放大器.對信號幅度進行非線性擴張,以恢復原信號。稱此壓縮一擴張器為壓擴器。該系統的框圖如下圖所示,通過整個傳送及接收系統達到非均勻量化的目的。
脈衝編碼調製
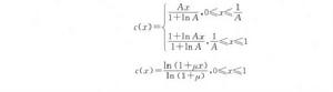
CCITT制定的G.711建議給出了國際上電話信號的64 kbit/s脈衝編碼調製(PCM)中的語音信號的兩種對數壓縮特性標準,即A律和μ律,分別由下式表示。
公式如下圖所示。
對數壓擴特性曲線美國與日本採用μ律,μ=255。中國和歐洲採用A律,A=87.56。在實際套用中,採用折線來近似表示對數壓縮特性,則可利用數位化技術,使得在實現時的一致性及穩定性好。國際上,以13折線法逼近A律,以15折線逼近μ律。
A律13折線壓擴:為便於描述,假設輸入信號在量化之前已經過歸一化處理,即動態範圍統一為(一1,+1)。
A律13折線如上圖所示,說明如下:
先在0至±1之間分別把y軸均勻地分為8段;在z軸上,採用對摺法把0至±l之間的線段分別分為8個不均勻段,各段分界點為±1/128,±1/64,±1/32,±1/16,±1/8,±1/4,±1/2,±1;從原點出發,把各段對應的分界點(z,Y)連線成折線。如上圖所示,折線共16段,正負方向各8段。由於正負方向的前兩段斜率相同,可視為1條直線段,故稱為13折線。

