簡介
等溫壓縮係數是指在等溫條件下,氣體隨壓力變化的體積變化率。通常狀態方程有3個變數,若某一變數保持不變,其他兩個變數之間可以建立微商關係(這就是偏微商),因而可由狀態方程求得反映系統的重要特性的三個係數。分別是體膨脹係數、壓縮係數、壓力係數。
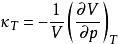
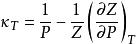
等溫壓縮係數
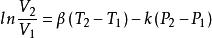
等溫壓縮係數又稱定溫壓縮係數:
定溫壓縮係數由於物質受壓時其體積一般總是要縮小的 ,而等溫壓縮係數應該是正的,所以有個負號。
定溫壓縮係數當溫度和壓力變化不大時,流體的容積膨脹係數和等溫壓縮係數可以看作常數,則有
定溫壓縮係數1949年Muskat將實際氣體定律
定溫壓縮係數代入式中得到:
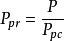
定溫壓縮係數結合擬對比壓力的定義:
定溫壓縮係數再代入可得:
定溫壓縮係數
定溫壓縮係數
定溫壓縮係數
定溫壓縮係數式中為氣體等溫壓縮係數,為混合氣體的擬臨界壓力,為擬對比壓力,無因次;Z為氣體的偏差因子,無因次。
可以看出,求取實際氣等溫壓縮係數的關鍵在於研究偏差因子及其隨對比壓力的變化,因此首先需求出實際氣體的偏差因子。
三大係數
除定溫壓縮係數外,另外兩個係數分別為體膨脹係數和相對壓力係數。
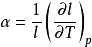
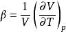
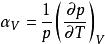
體膨脹係數
定溫壓縮係數它表示在壓強不變的條件下,單位溫度變化所引起的體積的相對變化。
由於物體具有3維結構,在體積增大的同時必然伴隨有線度的增加。
這一性質是由線膨脹係數來表示的。
定溫壓縮係數
定溫壓縮係數對於各向同性物質,即各個方向的物理性質均相同的物質,在一級近似情況下,體膨脹係數與線膨脹係數之間有如下關係
定溫壓縮係數相對壓力係數
它表示在體積不變的條件下,單位溫度變化所引起的壓強的相對變化。
定溫壓縮係數一個系統的物態方程的精確表達式往往是很複雜的,在熱學巨觀理論中它只能由實驗來確定。
而由實驗來測定一個化學純的系統的物態方程,常常是通過測量等溫壓縮係數、體膨脹係數、相對壓力係數而得到的。
