簡介
已有的移動通信系統中移動定位服務主要用於緊急救援,如緊急救護,緊急呼叫場景下對用戶的定位;基於位置的信息服務,如車載GPS的套用、黃頁、交通信息、天氣信息、導航信息和導遊服務等;基於位置觸發的服務,如基於位置的管理信息和計費等;跟蹤及資產管理服務,如車輛調度/跟蹤/監控/防盜、物資跟蹤和老人兒童監護服務等。
LTE系統為了提供位置業務,引入了定位特性。對定位特性的主要需求是同時支持控制面定位過程和用戶面定位過程。控制面的定位主要是指通過控制信令來進行定位相關的信息的傳輸;用戶面的定位是指對OMA SUPL(Open Mobile Alliance Secure User Plane Location)協定的支持,即定位相關信息可以通過OMA SUPL協定進行傳輸,在無線接口看其是用戶數據,不是控制信令。
定位方式分為支持基於網路(Network-based、E-SMLC-based)的定位方式和基於UE(UE-based)的定位方式。基於網路的定位方式是指UE的位置計算是在E-SMLC中進行;基於UE的定位方式是指UE的位置計算是在UE內進行。
定位架構
圖5‑23 定位架構圖在EPS系統中的定位架構最終選定為如圖5-23所示的架構。
在EPS網路中,為實現定位功能新增的實體有GMLC、E-SMLC、LRF、PPR和RDF。為實現定位功能,MME也有功能上的增加。
(1)GMLC(Gateway Mobile Location Center):網關移動位置中心,提供外部LCS客戶端到行動網路的接入,將位置請求和應答轉發到用戶當前的MME/SGSN,並負責LCS客戶端的認證和鑒權。
(2)E-SMLC(Evolved Serving Mobile Location Center):演進的服務移動位置中心,將客戶端請求的位置要求轉化為相應的UTRAN測量參數,並選擇定位方法。對返回的位置估計計算最終結果和精度。
(3)LRF(Location Retrieval Function):位置獲取功能實體,為外部LCS Client獲取與UE有關的位置信息,包括要求定位的實體、臨時位置信息、初始定位信息和更新的定位信息。LRF可以與單獨的GMLC互動,也可以與GMLC集成以獲得定位信息。在緊急呼叫中,LRF可以與一個單獨的RDF互動,也可以與RDF集成以獲得路由信息。LRF也可以與其他類型的Location Server互動或集成來獲得位置信息。
(4)PPR(Privacy Profile Register):私密信息存儲器,存儲移動用戶的私密性信息,執行私密性檢查並返回檢查結果。PPR可以是一個獨立的實體,也可以集成在H-GMLC中。
(5)RDF(Routing Determination Function):路由功能實體,在緊急呼叫中為E-CSCF提供合適的PSAP目的地址。可以集成在GMLC或LRF中,與GMLC互動進行ESQK的分配和管理,以及向PSAP傳送位置信息。
(6)MME:為LCS業務提供移動性管理功能,包括向E-SMLC/GMLC通報UE的移動。
圖5‑24 E-UTRAN的定位架構圖與E-UTRAN相關的定位架構如圖5‑24所示。
該架構支持控制面定位和用戶面定位。控制面定位的網路側伺服器為E-SMLC,UE和/或eNode B的接入層參與(提供輔助數據或者測量結果等),來完成對終端的定位功能。UE和定位計算中心之間的定位協定是LPP(LTE Positioning Protocol);基站和定位計算中心之間的定位協定是LPPa(LTE Positioning Protocol A)。用戶面定位是運行在套用層上的,使用用戶面定位的時候並不要求終端支持控制面定位。網路側的伺服器為SLP,使用SUPL協定與UE進行定位相關信息的互動。
定位協定及接口功能
圖5‑25 LPP協定棧在LTE系統中為了支持定位功能,引入了新的協定——LPP和LPPa。LPP為終端和定位伺服器之間的對等層定位協定,如圖5-25所示。
LPP的傳輸與NAS信令類似,是通過RRC信令來承載的。通過LPP,終端設備和定位伺服器之間可以互動定位能力信息、輔助數據和與定位相關的測量信息以及位置信息等。
LPPa為基站和定位伺服器之間的對等層定位協定,用來互動與定位相關的信息,如多小區信息,基站提供的測量信息等。LPPa訊息的傳輸是通過S1AP來承載的。
定位的主要方法
LTE系統的定位機制需要同時支持控制面定位方法和用戶面定位方法。用戶面定位方法由OMA組織進行標準化,這裡僅介紹3GPP負責標準化的控制面定位方法。在R9階段,其包括以下三大定位技術:輔助全球導航衛星系統(A-GNSS,Assisted Global Navagation Satellite System)、下行到達時間觀測差(OTDOA,Observed Time Difference Of Arrival)和增強小區ID(E-CID,Enhanced CELL ID)。TA(Timing Advance,定時提前量)+AoA(Angle of Arrival,來波方向)定位技術屬於E-CID技術中的一種。
TA+AoA
定位原理
CELL_ID定位方法是基於小區覆蓋的定位方法,採用已知的服務小區地理信息估計目標UE的位置。該服務小區信息可以通過尋呼和跟蹤區(TA,Tracking Area)更新等方式獲得。TA+AoA在CELL_ID定位方法的基礎上考慮了定時提前量以及來波方向的因素,從而達到更精確的定位目的。
圖5 26 TA+AoA的定位原理圖eNode B通過智慧型天線得到UE發射信號的AoA,UE處於以eNode B為起點的射線上,且射線從正北方向逆時針鏇轉的角度為AoA。
TA的獲得可以通過終端上報UE接收和傳送的時間差加上eNode B測到的接收和傳送的時間差來計算(此方法計算得到的TA稱之為TA Type1),也可以通過專用隨機接入過程由eNode B測量得到(此方法計算得到的TA稱之為TA Type2)。TA乘以光速除以2,表示了UE同eNode B之間的距離,UE就處於以eNode B為圓心、UE和eNode B距離為半徑的圓周上。再根據AoA的角度信息就可以獲得終端的位置信息。如圖5-26所示。
定位過程
TA+AoA的定位方法通常只用於基於網路的定位,主要原因是AoA只能由基站測量得到,TA Type1和TA Type2也是由基站計算或者測量得到,即所有與該定位方法相關的測量量都是基站提供的。這些測量量均可以由基站提供給定位伺服器E-SMLC,所以支持基於網路的定位就可以達到定位的目的了。因此也帶來了該方法的一個優勢,即對不支持定位業務的終端,也可以通過該方法對其進行定位。
使用TA+AoA方法進行定位主要涉及以下流程:獲得終端的測量能力,定位伺服器決定所需的測量量,基站啟動相關測量,基站上報相關測量結果和位置信息,定位伺服器進行位置計算。下面給出兩種場景的TA+AoA定位方法的流程。
圖5‑27 TA +AoA定位流程圖(TA Type1)場景一:採用TA Type1+AoA的測量結果進行定位。如圖5‑27所示。
該過程包括如下步驟。
步驟1:UE通過NAS層訊息,向MME發起一個定位請求,請求獲取自身的位置信息,也可以是某個定位服務的客戶端(LCS Client)向MME發起定位請求,請求獲取某個UE的位置信息。
步驟2:MME向E-SMLC發起定位請求。
步驟3a/3b:E-SMLC查詢並獲取UE的定位能力信息。
步驟4a/4b/4c:E-SMLC獲取基站的相關測量結果以及服務小區的信息。
步驟5a/5b/5c:在E-SMLC的請求下,基站觸發TA Type1,基站接收UE信號的定時偏差以及AoA的測量。
步驟6:E-SMLC根據基站的測量結果以及其他各方面輸入,計算出UE的位置信息。
步驟7:E-SMLC將定位結果(位置信息)發給MME。
步驟8:MME將定位結果(位置信息)發給UE或者LCS Client。
圖5‑28 TA +AoA定位流程圖(TA Type2)場景二:採用TA Type2+AoA的測量結果進行定位。如圖5‑28所示。
該過程包括如下步驟。
步驟1:某個定位服務的客戶端(LCS Client)向MME發起定位請求,請求獲取某個UE的位置信息,該UE可以是支持定位業務的終端也可以是不支持定位業務的終端。
步驟2:MME向E-SMLC發起定位請求。
步驟3a/3b:E-SMLC查詢並獲取UE的定位能力信息;如果該UE不支持定位,則該步驟省略。
步驟4a/4b/4c:E-SMLC獲取基站的相關測量結果以及服務小區的信息。
步驟5a/5b:根據E-SMLC的請求,基站觸發專用隨機接入過程獲得TA Type2,同時觸發物理層進行AOA的測量。
步驟6:E-SMLC根據基站的測量結果以及其他各方面輸入,計算出UE的位置信息。
步驟7:E-SMLC將定位結果(位置信息)發給MME。
步驟8:MME將定位結果(位置信息)發給LCS Client,不排除該LCS Client就是被定位的用戶本身的可能性。
OTDOA
定位原理
圖5‑29 OTDOA定位原理圖OTDOA定位方法通過檢測3個不同基站信號到達的時間差來確定UE位置。如圖5‑29所示,UE位於以兩個基站為焦點的雙曲線上。
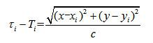
假設終端UE的坐標為( x, y),基站 i的位置坐標為( x , y ),基站 i傳送信號的時間為 T ,UE接收到該信號的時間為。由基站 i可得
定位[移動通信系統中特定的一種技術](5-1)
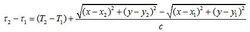
因此由基站1與基站2到達UE的時間差可得方程式:
定位[移動通信系統中特定的一種技術](5-2)
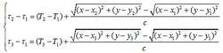
由於確定UE位置需要建立兩個以上的雙曲線方程,兩條雙曲線的交點為UE的二維位置坐標。以基站1作為參考小區,則可得方程組
定位[移動通信系統中特定的一種技術](5-3)
解該方程組即可得UE的二維地理坐標。其中 c為光速。基站傳送時間差( T - T )及各基站的位置坐標作為輔助數據,由OAM直接配置給E-SMLC,若需要動態更新,E-SMLC可以通過LPPa獲得這些輔助數據信息。為了獲得精確定位,OTDOA方法要求同時有三個以上的基站參與定位參數RSTD的測量。考慮到UE使用公共參考信號下行檢測鄰基站信號性能不一定好,LTE系統中引入了定位參考信號(PRS,Positioning Reference Signalling),專用於OTDOA定位方法中UE測量基站信號。E-SMLC獲得各測量小區的PRS子幀配置的方式同其他輔助數據一樣,一般通過OAM直接配置。而UE在OTDOA定位過程中,可以通過LPP的輔助數據傳輸功能,從E-SMLC獲得測量小區集的PRS子幀配置。
定位過程
現有OTDOA定位只支持UE輔助的OTDOA定位方法,即最終的位置計算是在定位計算中心進行的。
定位過程的基本流程是:網路獲取UE的定位能力,網路提供輔助數據,UE提供定位測量結果,定位結果計算。以下分兩個場景給出OTDOA定位的流程。
圖5‑30 UE觸發定位請求的定位流程圖場景一:UE觸發定位請求的流程圖如圖5-30所示。
步驟1:UE通過NAS層訊息,向MME發起一個定位請求,請求獲取自身的位置信息。
步驟2:MME向E-SMLC發起定位請求。
步驟3a/3b:E-SMLC查詢並獲取UE的定位能力信息。
步驟4:E-SMLC通過LPP提供輔助數據訊息。LPP提供的輔助數據訊息中可能包括以下信息:
① 參考小區的信息,包括參考小區的PCI、E-CGI、頻點、PRS配置等信息,選取的參考小區並不局限於服務小區;
② 鄰小區信息列表,包括每個鄰小區的PCI、E-CGI、頻點、PRS配置等信息。鄰小區信息列表是根據預先對UE位置的估計而選取的一些利於測量的鄰小區。
步驟5a/5b:E-SMLC請求並獲得UE的位置信息,主要包括相關的測量結果。
步驟6:E-SMLC根據UE的測量結果以及其他各方面輸入,計算出UE的位置信息。
步驟7:E-SMLC將定位結果(位置信息)發給MME。
步驟8:MME將定位結果(位置信息)發給UE。
圖5‑31 網路側觸發定位請求的定位流程圖場景二:網路側觸發定位請求的流程圖如圖5-31所示。
步驟1:定位需求方(LCS Client)向MME發起一個定位請求,希望獲取UE的位置信息。
步驟2:MME向E-SMLC發起定位請求。
步驟3a/3b:E-SMLC查詢並獲取UE的定位能力信息。
步驟4a/4b:UE請求並獲得E-SMLC提供的輔助數據。
步驟5a/5b:E-SMLC請求並獲得UE的位置信息,主要包括相關的測量結果。
步驟6:E-SMLC根據UE的測量結果以及其他各方面輸入,計算出UE的位置信息。
步驟7:E-SMLC將定位結果(位置信息)發給MME。
步驟8:MME將定位結果(位置信息)發給UE。
A-GNSS
定位原理
輔助導航定位系統,是一種結合網路基站信息和衛星導航信息對移動台進行定位的技術,既利用衛星導航系統,又利用移動基站,提高手機終端的定位性能。該技術需要對UE側和蜂窩系統的網路側進行一定改造:在UE中安裝衛星導航系統接收機,使其具備接收衛星導航信號的功能;在蜂窩網路內設計一套實時運行的衛星導航系統接收網路。當UE需要進行定位時,網路側可以基於UE的初步位置(如所在小區的地理位置)預估出該位置上空的衛星運行情況,如星曆(ephemeris)、曆書(almanac)和差分校準信息等,將這些輔助信息通過蜂窩網路提供給UE,這樣UE可以將其作為先驗知識進行最佳化搜尋和定位過程,從而起到減少搜尋時間、降低搜尋信號電平需求等效果,提高了定位性能。
定位過程
LTE系統中的A-GNSS定位機制支持以下定位選項:基於UE的定位(UE-based),基於網路的定位(E-SMLC-based)。此外,輔助數據不能通過廣播方式傳送給UE,而必須通過專用信令方式傳送給UE。
定位過程的基本流程是:網路獲取UE的定位能力,網路為UE提供輔助數據,定位結果計算。以下分3個場景給出A-GNSS定位的流程。
圖5‑32 UE發起的定位過程示意圖場景一:UE發起的對自身的定位過程,如圖5-32所示。
當UE僅支持E-SMLC-based A-GNSS定位方法,且希望對自身進行定位時觸發此過程。該過程包括如下步驟。
步驟1:UE通過NAS層訊息,向MME發起一個定位請求,請求獲取自身的位置信息。
步驟2:MME向E-SMLC發起定位請求。
步驟3a/3b:E-SMLC查詢並獲取UE的定位能力信息。
步驟4a/4b:UE請求並獲得E-SMLC提供的輔助數據。
步驟5a/5b:在E-SMLC的請求下,UE利用輔助信息進行A-GNSS相關測量,並將測量結果傳送給E-SMLC。
步驟6:E-SMLC根據UE的測量結果以及其他各方面輸入,計算出UE的位置信息。
步驟7:E-SMLC將定位結果(位置信息)發給MME。
步驟8:MME將定位結果(位置信息)發給UE。
圖5‑33 UE輔助信息索取場景二:UE發起的輔助信息索取過程,如圖5-33所示。
當UE支持UE-based A-GNSS定位方法,希望獲取輔助數據時觸發此過程。該過程包括如下步驟。
步驟1:UE通過NAS層訊息,向MME發起一個定位請求。
步驟2:MME向E-SMLC發起定位請求。
步驟3a/3b:E-SMLC查詢並獲取UE的定位能力信息。
步驟4a/4b:UE請求並獲得E-SMLC提供的輔助數據。
接下來UE將利用獲得的輔助信息進行GNSS測量,由於使用UE-based定位方式,因此測量結果不需要上報給E-SMLC,而是UE自己進行本地計算,得到自己的位置信息。
場景三:網路側發起的對UE的定位過程,如圖5-34所示。
當定位過程由網路發起時,使用此過程。分為以下幾個步驟。
步驟1:定位需求方(LCS Client)向MME發起一個定位請求,希望獲取UE的位置信息。
步驟2:MME向E-SMLC發起定位請求。
步驟3a/3b:E-SMLC查詢並獲取UE的定位能力信息。
步驟4a/4b:UE請求並獲得E-SMLC提供的輔助數據。
如果使用E-SMLC-based定位方法,則執行步驟5~6。
步驟5a/5b:在E-SMLC的請求下,UE利用輔助信息進行GNSS測量,並將測量結果傳送給E-SMLC。
步驟6:E-SMLC根據UE的測量結果以及其他各方面輸入,計算出UE的位置信息。
如果使用UE-based定位方法,則執行步驟7~9。
圖5‑34 網路側發起的定位過程步驟7:E-SMLC請求UE提供位置信息。
步驟8:利用輔助信息進行GNSS測量,並進行本地計算,得到自己的位置信息。
步驟9:UE將自己的位置信息發給E-SMLC。
至此,E-SMLC已經獲得了UE的位置信息,繼續執行步驟10~11。
步驟10:E-SMLC將定位結果(位置信息)發給MME。
步驟11:MME將定位結果(位置信息)發給定位需求方(LCS Client)。
