簡介
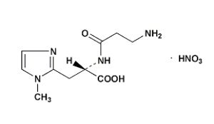
安肌肽(鵝肌肽)(β-丙氨醯-1-甲基L-組氨酸,Anserine)為高度穩定的水溶性二肽,天然存在於脊椎動物的骨骼肌組織和腦組織中,其具有約7.1的PK值,且在低PH值(<3.0)下保持完整。1900年,俄國學者Gulewitsch最早發現了肌肽。自從Gulewitsch首次分離肌肽100多年來,各國學者在不同的肌肉組織中提取分離了組氨酸二肽,如鵝肌肽、鯨肌肽、N-乙醯-肌肽等二肽。
套用
自1900年Gulewitsch發現肌肽以來,100多年的研究確實取得了很大進展。肌肽的許多生理特性如緩衝生理pH、螯合金屬離子、清除自由基等已經基本得到共識。肌肽有著很大的潛力被廣泛地套用到食品、醫藥、化妝品等行業中。在體外能抑制鐵、血紅蛋白、脂質氧化酶及單線態氧催化的脂質氧化作用,可作為一種天然的抗氧化劑;具有細胞膜保護功能,對控制細胞動態平衡起著重要的作用,可用作免疫調節劑和抗炎症、治療表皮燒傷、促進傷口癒合的良藥;保護心肌細胞免受缺血性損傷,促進心肌細胞損傷修復,改善心臟的收縮能力;具有神經調節功能,是一種天然的神經調節劑;具有延緩衰老的功能,可製成抗衰老的藥劑;另外據報導肌肽還具有抗血壓、抗腫瘤等功能。
諸多研究結果證明,安肌肽除了具有抗疲勞作用外,還具有抗氧化、降低血壓、抗炎、降低尿酸值等功效,能很好的改善痛風。作為一種新型海洋功能調理品,安肌肽對人體安全而無毒副作用。人和動物在劇烈的運動過程中都會產生大量酸性物質,但生物學家發現,鰹魚、鮪魚等遠洋魚類高速洄游數萬公里,卻不會導致酸性物質在體內堆積。經科學研究發現,鰹魚、鮪魚體內的安肌肽成分能夠迅速降低魚體內的酸性物質。
此後進行的一系列藥理試驗證實,安肌肽有明顯降低人體血尿酸的作用,有的高血尿酸者服用一小時後,即可通過血尿酸檢測看到明顯效果。安肌肽作為一種能有效地控制尿酸值的新一代功能性食品原料而吸引了大眾的眼球。安肌肽是一種新型海洋功能食品,對人體安全而無毒副作用,一發明就受到日本、韓國等痛風病高發國家患者的熱烈歡迎,成為降血尿酸的最重要非藥物手段,得到越來越多的普及使用。並且在美國、日本、台灣、中國大陸等均獲得了降尿酸專利。舒一肽運用先進技術從北部灣深海魚萃取安肌肽成分,從根源解決痛風問題,區別於藥物的野蠻排酸傷腎,舒一肽的海洋技術賦予了其天然安全不傷腎的功效,適合長期服用。據醫藥前沿報導,安肌肽成分已被多家藥物研究機構作為一種痛風新藥研發申報。

