成份
奧美拉唑腸溶片本品主要成份為奧美拉唑。
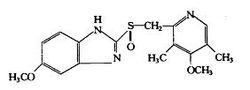
化學名稱:5-甲氧基-2-{[(4-甲氧-3,5-二甲基-2-吡啶基)-甲基]-亞碸}-1H-苯並咪唑
化學結構式:
分子式:CHNOS
分子量:345.41
藥品簡介
通用名 奧美拉唑腸溶片
1英文名 OMEPRAZOLE ENTERIC-COATED TABLETS
拼音名 AOMEILAZUO CHANGRONGPIAN
藥品類別 抗酸藥及抗潰瘍病藥
性狀 本品為腸溶包衣片,除去腸溶衣後顯類白色。
貯藏 密封,在陰涼乾燥處保存。
包裝 10mg
適應症
適用於胃潰瘍、十二指腸潰瘍、應激性潰瘍、反流性食管炎和卓-艾綜合徵(胃泌素瘤)。
用法用量
口服,不可咀嚼。(1)消化性潰瘍:一次20mg(一次1片),一日1~2次。每日晨起吞服或早晚各一次,胃潰瘍療程通常為4~8周,十二指腸潰瘍療程通常2~4周。(2)反流性食管炎:一次20~60 mg(一次1~3片),一日1~2次。晨起吞服或早晚各一次,療程通常為4~8周。(3)卓-艾綜合徵:一次60mg(一次3片),一日1次,以後每日總劑量可根據病情調整為20~120mg(1~6片),若一日總劑量需超過80mg(4片)時,應分為兩次服用。
不良反應
本品耐受性良好,常見不良反應是腹瀉、頭痛、噁心、腹痛、胃腸脹氣及便秘,偶見血清氨基轉移酶(ALT,AST)增高、皮疹、眩暈、嗜睡、失眠等,這些不良反應通常是輕微的,可自動消失,與劑量無關。長期治療未見嚴重的不良反應,但在有些病例中可發生胃黏膜細胞增生和萎縮性胃炎。
服用禁忌
對本品過敏者、嚴重腎功能不全者及嬰幼兒禁用。
注意事項
1.使用不得超過7天,如症狀未緩解或消失請諮詢醫師或藥師。
2.兩個月以內不得再次服用,如症狀反覆,應立即就醫。
3.本品在以下情況下請勿使用:吞咽困難或疼痛;嘔血;便血或黑便。這些可能是嚴重情況的徵兆,請諮詢醫師。
4.肝功能不全或血象不正常的患者請在醫師指導下使用。
5.假如出現燒心持續或加重症狀,請停用本品並去醫院就診。
6.兒童使用本品應在醫師指導下進行。
7.孕期、哺乳期婦女慎用。
8.如服用過量或出現嚴重不良反應,請立即就醫。
9.對本品過敏者禁用,過敏體質者慎用。
10.本品性狀發生改變時禁止使用。
11.請將本品放在兒童不能接觸的地方。
12.兒童必須在成人監護下使用。
13.如正在使用其他藥品,使用本品前請諮詢醫師或藥師。
孕婦及哺乳期婦女用藥
雖然動物實驗表明,本品無胎兒毒性或致畸作用,但對孕婦一般不用,對哺乳期婦女也應慎用。
兒童用藥
尚無兒童用藥經驗,嬰幼兒禁用。
藥物相互作用
1.本品抑制胃酸分泌的作用強,時間長,故套用本品時不宜同時再服用其他抗酸劑或抑酸劑。
2.本品可延緩在肝臟氧化代謝的藥物在體內的消除,如安定、苯妥英鈉、華法令、硝苯啶。當本品和上述藥物一起使用時,應酌減後者的用量。
3.與經細胞色素P450酶系統代謝的藥物(如華法令)可能有相互作用。
藥物過量
1.本品抑制胃酸分泌的作用強,時間長,為防止抑酸過分,在一般消化性潰瘍等病時,不建議大劑量長期套用(卓-艾氏綜合徵時例外)。
2.對鼠進行的毒理學研究顯示:長期大劑量服用,引起胃內腸嗜鉻樣細胞增生和類癌瘤變。
藥理毒理
質子泵抑制劑。本品為脂溶性弱鹼性藥物,易濃集於酸性環境中,因此口服後可特異地分布於胃黏膜壁細胞的分泌小管中,並在此高酸環境下轉化為亞磺醯胺的活性形式,然後通過二硫鍵與壁細胞分泌膜中的H[sup]+[/sup]-K[sup]+[/sup]-ATP酶(又稱質子泵)的巰基呈不可逆性的結合,生成亞磺醯胺與質子泵的複合物,從而抑制該酶活性,阻斷胃酸分泌的最後步驟,因此本品對各種原因引起的胃酸分泌具有強而持久的抑制作用。
藥代動力學
口服本品後,經小腸吸收,1小時內起效,0.5~3.5小時血藥濃度達峰值,作用持續24小時以上。可分布到肝、腎、胃、十二指腸、甲狀腺等組織,且易透過胎盤。通常單劑量生物利用度約35%,多劑量可增至約60%,血漿蛋白結合率為95%~96%,血漿半衰期為0.5~1小時,慢性肝病患者為3小時。本品在體內經肝臟微粒體細胞色素P450氧化酶系統代謝,代謝物的80%經尿排泄,其餘由膽汁分泌後從糞便排泄。
貯藏方法
遮光,密封,在陰涼(不超過20℃)乾燥處保存。
藥品包裝
棕色鋁塑泡罩包裝,7片/板,1板/盒;14片/板,1板/盒,2板/盒。
執行標準
《中國藥典》2010年版二部

