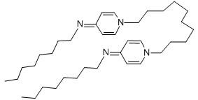
奧替尼啶
中文同義詞: 奧克太啶;奧替尼啶;N,N'-[1,10-亞癸基二-1(4H)-吡啶-4-亞基]雙(1-辛胺);奧替尼定;澳克台啶
英文名稱: Octenidine
CAS號: 71251-02-0
分子式: C36H62N4
分子量: 550.9
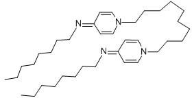
奧替尼啶分子結構 化學性質 鹽酸奧替尼啶(Octenidine Hydrochloride):C36H62N4?2HCl。[70775-75-6]。從乙醚得固體,熔點215~217℃。
用途抗微生物劑是用於皮膚、黏膜和傷口的特殊淨化劑。
由於它對粘附和合成化學細胞組分有特殊作用和對整個細胞有很高的抗菌活性,雙鹽酸奧替尼啶(奧替尼啶)可能會被認為是一種獨特的抗微生物劑,通過在作用點無細胞毒素合成而發揮著它的活性。因此,奧替尼啶不會被認為是一種典型的防腐劑,像氯己定或聚乙烯酮碘。
奧替尼啶對抗革蘭氏陽性、陰性菌和真菌顯示出一種廣譜抗菌效力。這種效力不會受干擾物(如血液,粘液)影響。奧替尼啶在皮膚有很強的殘存效應,套用24小時後仍可以觀察出來。
由於奧替尼啶有極好的的抗微生物效力和組織相容性,奧替尼啶可用於不同的快速局部套用和發揮必需的長效作用。
有著高效作用和廣普活性的奧替尼啶,在局部治療微生物感染方面有突出和理想的效果。
