遠場測試原理是用已知特性參數的平面波照射天線,得到天線的接受特性參數,然後利用天線的互易性原理,得到天線的傳播特性參數。互易性原理指的是,天線用作發信天線時的參數,與用作收信天線的參數保持不變。
實際上,理想的平面波是不存在的,實際測試中,平面波是通過將一個已知特性的發射天線設定在遠處向待測天線照射,當發射天線的波前陣面擴展到一定程度,則可認為待測天線接收的是平面波的照射。
天線遠場
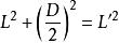
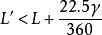
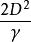
天線遠場天線遠場測量的示意圖,其中D是待測天線的直徑大小, 為波長。從發射天線發射出來的球面波經過一定距離的傳播後到達待測天線。當待測天線接收平面上,最大相位差不超過22.5°。則可認為待測天線接收到的是近似平面波。根據勾股定理以及三角形邊長關係,可列:
天線遠場
天線遠場
天線遠場
天線遠場上式中,L是待測天線中心距發射天線的距離,L’是待測天線的邊緣距離發射天線中心的距離。根據上式,我們可以求得: ,也就是說,在天線的遠場測量中,待測天線距離發射天線的最近距離不小於 。
遠場天線的測量就是輻射遠場測試天線的電參數,如天線方向圖、增益、極化參數等。
測量常用的方式:
1. 天線方向圖的測量
a. 固定天線法
1.1.
2.a.
固定天線法大多數是適用在地面上的天線,還有大型尺寸的天線結構,不能夠移動和運輸,並且固定天線法在地面上只能用於測量水平面方向圖的,局限性很大,只是對於特定天線類型的方法,得出的測量結果也是相當有限。輔助天線在離開待測天線中心距離 R,R 滿足遠場距離要求,選定一系列方位角測試點,在平面內繞動,從而得到水平面內方向圖。
b. 旋轉天線法
1.b.
天線遠場旋轉天線法與固定天線法相反,它的待測天線繞自己的中心旋轉,輔助天線保持固定。開始時,輔助天線發射信號,待測天線轉台驅動旋轉360度,並接收信號,信號到達接收機生成信號。超高頻或微波波段的天線,一般都是選用旋轉天線法測量天線的方圖。
1. 天線增益的測量
a. 比較法
1.1.
2.a.
天線遠場比較法就是相對增益測量,就需要已知標準天線的增益,而後把輔助天線對準標準天線測量,在把標準天線換成待測天線,兩次結果對比,根據已知增益標出待測增益。測量時先讓待測天線對準輔助發射天線,然後使標準天線對準輔助發射天線用網路分析儀記錄功率值就能求出待測天線的增益。用比較法測增益必須使待測天線和標準增益天線的最大輻射方向位於同一條直線上,且讓它們的相位中心位於旋轉軸的等距離點上。
a. 兩相同天線法
1.a.
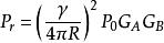
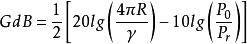
因為是兩個相同的天線,所以認為是在理想的極化以及阻抗匹配情況同時又是遠場天線測量距離條件下,得出接收功率公式為:
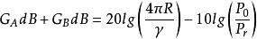
天線遠場將公式用dB表示
天線遠場假定AB完全相同,即有,則
天線遠場
天線遠場
天線遠場
天線遠場
天線遠場得出結論為,測量出功率比,根據測量距離和相應頻點波長,有了這三個參數,代入到上述公式,即可得出天線的增益。因為它們是相同的天線,可以隨意互換,多次測量,從而消除其他因素的影響。
1. 天線極化參數的測量
1.1.
極化的理論是採用正交分解法來分析,特別使用潘卡球的理論對波的極化特性進行描述,極化的基本概念是由於在各種同性的媒介中,電磁波在諧振場中傳播時,電場矢量隨時間完成一個周期,電場矢量端描繪出的軌跡,定義為發射波的極化。
在一個周期內,其矢量端的軌跡是一條直線,這就是線極化波。在兩個頻率相同,傳播方向一致,但是相位振幅和矢量方向不同的線極化波,其合成場的傳播方向的垂直平面內,經過一個周期後,電場矢量端的軌跡將是一個橢圓,就是橢圓極化波,當兩個電場處於同相或者反相時,才形成線極化波;兩個電場矢量相互正交時,振幅相等且相位差差 π/2時,就是圓極化波。線極化波和圓極化波都是橢圓極化波的特殊情況。
