比較法
比較法測量天線增益的實質就是將待測天線的增益與已知天線的標準增益進行比較而得出待測天線的增益。由天線互易原理可知,可以把待測天線用作接收,也可用作發射。該法所用的增益標準天線是天線增益測量的主要誤差源,必須謹慎選擇,認真標校。
1.1測量條件
要想精確地進行天線增益的測量,須滿足以下測量條件:
(1)滿足遠場條件
被測天線與源天線之間測量距離應滿足相應條件。
(2)合理地利用地形地物,設計和選擇實用於待測天線的測試場地
對於工作頻率低於1GHz的寬波束天線,在無法或很難消除地面反射的情況下,常用地面反射測試場地來校準低頻中等天線的增益。
被測天線應安裝於場強基本均勻的區域內,場強應預先用一個偶極天線在被測天線的有效天線體積內進行檢測,如果電場變化超過1.5dB,則認為試驗場是不可用的。此外,增益基準天線在兩個正交極化面上測得的場強差值應小於1dB。
(3)關於天線的架設高度
調整天線的架設高度,使直射波和反射波同相到達接收天線處。
為保證接收天線孔徑垂直面場振幅分布的不均勻性小於0.25dB,且接收天線與它在地面上鏡像天線間的互耦低於40dB,為此必須按照下述原則確定接收天線的架設高度
h,...4D (6.2.2)
h(6.2.3)
式中:D——接收天線口徑尺寸,m;
λ——工作波長,m。
1.2測試系統
比較法測量天線增益的原理方框圖如圖1所示。實際上和天線方向圖的測量系統基本相同。只不過在測量天線增益時,在靠近待測天線的旁邊要放置一個標準增益天線。
天線增益測量圖1比較法測量增益原理方框圖
1.3測試步驟
(1)線極化天線增益的測試步驟
①按圖1連線測試系統,儀器設備加電預熱;
②正確設定信號源、頻譜儀或矢量網路分析儀的各參數,如頻率、功率、頻寬、掃描時間等;信號源發射一連續單載波信號,調整源天線極化與待測天線極化匹配,並使源天線瞄準待測天線;
③驅動待測天線與源天線對準,此時頻譜儀接收的信號功率電平最大,記錄頻譜儀測試的信號功率電平為Px;
④標準天線安裝在一可勻速運動的升降裝置上,儘量靠近待測天線,以減少由測試距離引起的測試誤差;
⑤將標準天線升到待測天線口面中心的位置,並將射頻電纜從待測天線轉接到標準天線上,調整標準天線與源天線對準,且極化匹配;
⑥驅動升降裝置在待測天線口面上下運動,由頻譜儀測試地面反射曲線,確定地面反射曲線的極大值和極小值的算術平均值,記為Ps;
⑦計算待測天線增益:
G=GS+(P-P) (6.2.6)
式中:
G——待測天線增益,dBi;
G——標準天線增益,dBi;
P——待測天線接收的信號功率電平,dBm;
P——標準天線接收的信號功率電平,dBm。
(2)圓極化天線增益的測試步驟
①按圖6.2.1連線測試系統,加電預熱使儀器設備工作正常;
②按產品規範的規定設定信號源的工作頻率,信號源發射一連續的單載波信號,調整源天線與待測天線對準,旋轉源天線極化,記錄待測天線長軸方向接收的信號功率電平為Px;
③驅動待測天線的方位和俯仰,使待測天線與源天線對準,旋轉源天線極化一周,測試待測天線軸比,記為AR;
④將標準天線升到待測天線口面中心的位置,把待測天線的信號傳輸電纜接到標準天線上,並調整標準天線與源天線對準,且極化匹配;
⑤驅動升降裝置在待測天線口面上下運動,由頻譜儀測試地面反射曲線,確定地面反射曲線的極大值和極小值的算術平均值,記為Ps;
⑥計算待測天線增益;
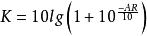
G=G+P-P+K (6.2.7)
天線增益測量(6.2.8)
式中:
K—軸比修正因子,dB;
AR—待測天線軸比,dB。
兩相同天線法
2.1測量原理和方法
兩相同天線法測試原理方框圖與圖1相同。
假定兩天線AB的極化和阻抗均匹配,且滿足遠區條件,由傳輸公式得
P=(λ/4πR) PGG(6.2.9)
把式(6.2.10)用dB表示
G(dB)+G(dB)=20lg(4πR/λ)-10lg(P/P) (6.2.10)
假定AB天線完全相同,即G=G=G
則 G(dB)= 1/2[20lg(4πR/λ)-10lg(P/P)] (6.2.11)
考慮到收發鏈路的饋線損耗,並令其總損耗為L,信號源輸出功率為P,源天線輸入功率P,則為:P=P-L。
將式(6.2.13)展開,得:G(dB)=[L-(P-P)]/2 (6.2.12)
舉例:P=0dBm,L=80dB,P=-40dBm
G(dB)=[80-(0+40)]/2=20dBi
可見,只要測出了功率比P/P、距離R和波長λ,就能計算出待測天線的增益。為了消除由於加工引起的測量誤差,可把收發天線互換,另測一遍,取平均值。
2.2測量方法步驟
①在規定頻段分別測試收發饋線、源天線、待測天線、信號源及接收機(頻譜儀或矢網)等系統配置的所有器件的電壓駐波比,儘量使收發各鏈路良好匹配;
②收發饋線短接,對應工作頻點測試其損耗值,並記錄測試結果;
③連線源天線和待測天線,調整兩天線極化狀態相同,同時調整收發天線的方位俯仰,使兩天線軸向對準;
④在規定頻段至少測試低、中、高三個頻點;
⑤數據處理,按式(6.2.12)計算待測天線增益。
三天線法
3.1測量原理
兩天線法的缺點是要求兩天線必須完全相同,如果沒有兩個完全相同的天線,可以採用三天線法。設三個天線的增益分別為G、G和G,把它們按兩相同天線法兩兩組合,就能得出下面三組方程
G(dB)+G(dB)=20lg(4πR/λ)-10lg(P/P) (6.2.13)
GB(dB)+GC(dB)=20lg (4πR/λ)-10lg(P/P)(6.2.14)
GC(dB)+GA(dB)=20lg (4πR/λ)-10lg(P/P)(6.2.15)
聯立求解上面三組方程,就能求出每個天線的增益。在保證測量距離相同的情況下(即R=R=R=R),其值分別為
G(dB)=[L-P+(P+P-P)] (6.2.16)
G(dB)=[L-P+(P+P-P)] (6.2.17)
G(dB)=[L-P+(P+P-P)] (6.2.18)
式中:L=L+L+L
其中:
L=自由空間損耗;L=發射支路饋線損耗;L=接收支路饋線損耗。
3.2舉例測試
(1)A、B、C三個天線,按如下組合分別測試:
①A發B收;②B發C收③C發A收
(2)三個天線增益理論值:G=13dBi,G=7dBi,G=2.5dBi
(3)f=960MHz,P0=5dBm,d=8m,Ld=50dB
(4)測試數據
①P=-25.2dBm
②P=-29.3dBm
③P=-35.2dBm
(5)數據處理結果
將測試數據代入式(6.2.19)、式(6.2.20)及式(6.2.21)得:
測量結果偏離設計值
G=12.85dBiΔ=-0.05dB
G=6.95dBi Δ=-0.05dB
G=2.85dBi Δ=+0.35dB
波束寬度法
4.1測量原理與方法
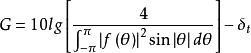
波束寬度法是通過測量天線方向圖的E/H面半功率波束寬度即3dB點的波束寬度及10dB波束寬、天線表面精度和饋源插入損耗,從而計算天線增益的方法。
方向圖積分法
由式可知,利用實際測量的方向圖,藉助計算機軟體,利用幸卜森積分法或梯形法求出式(6.2.25)的積分,即可得到天線的方向性增益。實際工程測量中,通常測量天線方位和俯仰方向圖,因此可得到天線方位和俯仰方向性增益,求出兩者的平均值即為天線的方向性增益。為了確定天線增益,必須對測量計算得方向性增益進行修正,即考慮各種損耗因子對天線增益的影響。例如,對於衛星通信天線主要是天線漏失及有限方向圖積分區域引起的增益損失(0.15dB)。
支桿遮擋(0.05dB)
軸向交叉極化(0.05dB)
失配和饋源網路折入損耗(0.3dB)
考慮各種增益損耗因子,則方向圖積分法確定天線增益的公式為:
天線增益測量(6.2.25)
天線增益測量式中為總損耗因子,對於衛星通信天線約為±0.3dB。
測試步驟:
(1)按照第1節敘述的方向圖測量方法測量天線方向圖;
(2)由實測天線方向圖,利用計算機採集測量數據,建立數據檔案,由測試軟體計算天線方向性增益;
(3)由計算的方向性增益,減去總損耗因子,即得天線增益。
射電源法
6.1用於天線測量的射電源應具備的條件
眾所周知,許多天體,如太陽、月亮和行星等除發射可見光之外,還發射不同波長的電磁波,其波長範圍從1mm到20m。因此,射電源是理想的寬頻射頻信號源,工作頻率處於上述射電磁頻段的天線,原則上均有可能用天體源進行天線輻射特性的測試。但用射電源測量天線時,應滿足下列條件:
①射電源在天空的位置應精確知道;
②射電源的尺寸必須很小,好似一個點源;
③在測試頻段內,射電源的絕對通量密度及隨時間的變化規律需精確知道;
④射電源應具有儘可能大的能量密度,以便得到大的動態範圍。
6.2用太陽源測量50m天線增益
(1)系統組成及工作原理
圖2為太陽源法測量天線增益的原理方框圖,測試系統主要由待測天線、低噪聲放大器(LNA)、高靈敏度接收機(頻譜分析儀或矢量網路分析儀)、天線伺服控制器、計算機及印表機等組成。
太陽好比是一台信號源,通過待測天線對準或偏離的兩種工作狀態,測量其通量密度或偏離時冷空的噪聲電平,然後採用Y因子法則可測算出天線增益。
天線增益測量圖2太陽源法
增益測量誤差來源
增益測量的主要誤差源是:阻抗失配、極化失配、近場效應、地面反射、儀器測量誤差等。
