簡介
天然氣等溫壓縮係數是指在等溫條件下,天然氣隨壓力變化的體積變化率。它是油氣藏工程計算中的重要參數。通常狀態方程有3個變數,若某一變數保持不變,其他兩個變數之間可以建立微商關係(這就是偏微商),因而可由狀態方程求得反映系統的重要特性的三個係數。分別是體膨脹係數、壓縮係數、壓力係數。
天然氣等溫壓縮係數的計算
天然氣等溫壓縮係數的確定方法大致可分為3種:第1種實驗法,根據實驗室壓力、體積、溫度等物性參數試驗,來獲取天然氣等溫壓縮係數的數值,此方法精度高但難以滿足大工作量的工程計算;第2種圖版法,利用Trube及Matter擬對比壓縮係數圖版,結合擬對比壓縮係數定義求出等溫壓縮係數,此方法有許多不便之處,精度較高但難以滿足大工作量的工程計算;第3種解析法,即根據求取偏差因子Z的相關經驗公式,結合等溫壓縮係數的定義,來確定等溫壓縮係數的數學解析式,從而計算氣體的等溫壓縮係數,好的解析法不僅計算精度較高,而且適用於大工作量的工程計算。
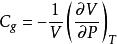
等溫壓縮係數的基本定義式為:
天然氣等溫壓縮係數
天然氣等溫壓縮係數由於物質受壓時其體積一般總是要縮小的,而等溫壓縮係數應該是正的,所以有個負號。
當溫度和壓力變化不大時,流體的容積膨脹係數和等溫壓縮係數可以看作常數,則有
天然氣等溫壓縮係數1949年Muskat將實際氣體定律
天然氣等溫壓縮係數代入式中得到:
天然氣等溫壓縮係數結合擬對比壓力的定義:
天然氣等溫壓縮係數再代入可得:
天然氣等溫壓縮係數
天然氣等溫壓縮係數
天然氣等溫壓縮係數
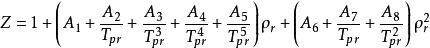
天然氣等溫壓縮係數式中 為氣體等溫壓縮係數, 為混合氣體的擬臨界壓力, 為擬對比壓力,無因次;Z為氣體的偏差因子,無因次。
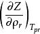
可以看出,求取實際氣等溫壓縮係數的關鍵在於研究偏差因子及其隨對比壓力的變化,因此首先研究天然氣的偏差因子。
高壓超高壓氣藏天然氣偏差因子的確定
針對高壓超高壓氣藏天然氣,偏差因子Z的各種計算方法結果相差很大,經文獻調研對高壓超高壓氣藏天然氣偏差因子Z的求取,主要採用DAK法和DPR法:
DAK法
天然氣等溫壓縮係數
天然氣等溫壓縮係數
天然氣等溫壓縮係數
天然氣等溫壓縮係數式中,
天然氣等溫壓縮係數
天然氣等溫壓縮係數
天然氣等溫壓縮係數為擬對比溫度,無因次; 為對比氣體密度,無因次。
DPR法
天然氣等溫壓縮係數
天然氣等溫壓縮係數
天然氣等溫壓縮係數式中,
天然氣等溫壓縮係數天然氣偏差因子隨對比壓力的變化關係
DAK法推導
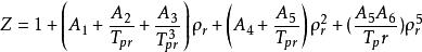
天然氣等溫壓縮係數當對比氣體密度 表示為DAK法式得:
天然氣等溫壓縮係數
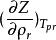
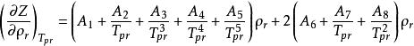
天然氣等溫壓縮係數同時可進一步求導求得 。
天然氣等溫壓縮係數
天然氣等溫壓縮係數DPR法第一步同理。同時,
天然氣等溫壓縮係數
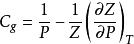
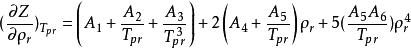
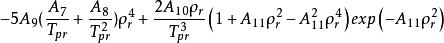
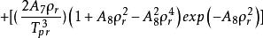
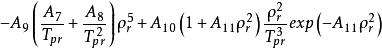
天然氣等溫壓縮係數高壓超高壓氣藏天然氣等溫壓縮係數
DAK法推導:
天然氣等溫壓縮係數
天然氣等溫壓縮係數
天然氣等溫壓縮係數
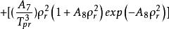
天然氣等溫壓縮係數DPR法等溫壓縮係數的表達式同樣為上式。但的表達式和DAK法不同。
天然氣等溫壓縮係數
天然氣等溫壓縮係數