評價因子的選擇
評價因子是指進行環境質量評價時所採用的對表征環境質量有代表性的主要污染因子。評價因子選擇正確與否,關係到評價結論的可靠程度。
評價因子主要通過污染源評價來獲取。它一般選擇那些能反映大氣質量狀況和在大氣環境中起主要作用的因子,如排放量大、濃度高、毒性強、經濟損失大的污染物。目前,我國大氣環境評價中常見的評價因子有:
(1)顆粒物:可吸人顆粒物、總懸浮顆粒物;
(2)有害氣體:二氧化硫、二氧化氮、一氧化碳、光化學氧化劑、氟化物等;
(3)有害元素:重金屬(如鉛、汞等);
(4)有機物:苯並(a)芘。
在具體進行大氣環境現狀評價時,可從上述因子中選擇幾項,同時可根據具體評價對象加以補充。
大氣環境現狀監測
大氣環境現狀監測是取得大氣環境現狀質量狀況的主要手段。因此,它是大氣環境評價的重要組成部分之一。在進行現狀監測前,首先要確定監測項目和監測範圍。
監測項目一般根據本地區污染源調查結果情況來確定,對已篩選出來的評價因子,一般應列為監測項目。
監測範圍取決於污染源所能明顯影響到的空間尺度,一般為事先確定的研究區和某些關心點。為了能在一定的空間範圍得到較為符合實際情況的濃度分布,大氣監測點布置一定要恰當。
常見的監測布點方法有:格線布點法、同心圓布點法、扇形布點法、功能區布點法等。具體採用什麼方法要視具體情況而定。採樣布點時,同時還要考慮人力、物力和監測條件等因素,採樣點的數量要確定適當。
監測時間原則上按《環境空氣品質標準》的規定進行,如不具備相應的監測條件,至少春、夏、秋、冬各一次,每次連續採樣5~7天,每天採樣4~6次。
大氣環境質量現狀評價
目前,對大氣環境質量現狀評價時常採用環境質量指數法。所謂環境質量指數就是將各種污染物的監測濃度值與它們各自的環境質量標準相比,並進行綜合運算。它是一個無量綱的“指數。環境質量指數常用兩種形式表示,一種是反映單一污染物影響的“分指數”,另一種是反映多種污染物共同影響的“綜合指數”。
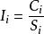
分指數的計算
分指數是環境污染物的實測濃度 Ci與該污染物在環境中的允許濃度(評價標準) S的比值:
大氣環境現狀評價式中:Ci 為污染物在環境中的濃度值,mg/m ;
S為污染物的評價標準,mg/m 。
單因子環境質量指數的值越大,表示 i 因子對環境質量影響越大;當分指數為1 時,單因子的環境質量達到評價標準。
需要特彆強調的是:如果僅進行了一期監測,又沒有直接可用的例行監測資料,不能輕易以這幾天的監測值代表整個評價區不同時期的環境空氣品質現狀,因為正如前面已多次分析過的,不同季節、不同時間的氣象條件差別大,污染源也在變化,致使環境空氣污染物的濃度差別很大。
綜合指數Pr的計算
在參與評價因子數大於1時,就要用多岡子環境質量指數來表述環境質量狀況。
分級評價法
分級評價法,是我國環境質量評價專業委員會提出的方法。該方法將大氣質量劃分為五級:第一級、第二級、第三級相當於保護大多數人的健康和城市一般植物需要達到的水平;第四級、第五級相當於污染和重污染水平。
