基本信息
中文名:多西他賽中間體
內控指標:白色固體
用途:用於多西他賽合成
三種分子式
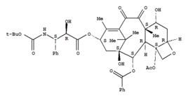
1.中文名:多西他賽中間體
英文:(aR,bS)-beta-[[(1,1-Dimethylethoxy)carbonyl]amino]-alpha-hydroxy-benzenepropanoic acid
CAS No:114915-14-9
分子式:C49H55Cl6NO18
分子量: 1158.69
內控指標:白色固體,含量≥98.5%
用途:用於多西他賽合成
2.中文名:多西他賽縮合物
英文名: Docetaxel condensates
分子式:C55H69Cl6NO18Si
分子量: 1272.96
內控指標:白色固體,含量≥98.0%
用途:用於多西他賽合成
3.中文名: 7,10-二(2,2,2-三氯乙氧羰基)-10-脫乙醯基巴卡丁 III
英文名:7,10-Bis-O-(2,2,2-trichloroethoxycarbonyl)-10-deacetylbaccatin III
CAS No:95603-44-4
分子式:C35H38Cl6O14
分子量: 896
內控指標:白色固體,含量≥98.0%
用途:用於多西他賽合成

