定常壓力流
流動特性不隨時間改變的壓力流。研究定常壓力流的目的在於找出管道特性和流動特性之間的關係,這種關係隨流動狀態而不同。在直線圓形管道中,如流動特性不沿流程改變則稱為均勻流,這時流動狀態隨管道雷諾數Re=uD/υ而改變,式中u為平均流速,D為管道直徑,υ為運動粘性係數。雷諾數小於2000時為層流;向湍流過渡的雷諾數在2000~4000之間,4000以上為湍流。定常壓力流的流動特性和管道特性之間的關係,可參見管流。非定常壓力流
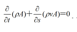
流動特性隨時間改變的壓力流。管道閥門啟閉,水力機械啟動、負荷改變或停機過程中的流動皆是不定常壓力流。若關閉或停機的速率很快,由於水流的慣性,液體將被壓縮而產生水擊。分析這一流動時必須考慮液體的可壓縮性。分析可壓縮非定常壓力流時,常用平均流速υ、壓力p、管道橫截面積A、密度p等量,並將流動簡化為一維問題。這時流動特性是距離s和時間t的函式。連續性方程為:
運動方程為:

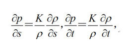
式中z為管道高程;f為摩擦係數,它是雷諾數Re和管道內壁相對粗糙度ε/D的函式(見管流);第四和第五項分別代表重力和管壁摩擦阻力的作用。液體受壓縮時的狀態方程為
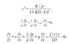
,由此推出:
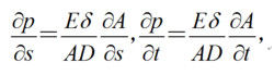
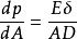
中K為液體的體積彈性模量。如果不考慮管壁的慣性,則彈性圓形管道的變形方程為
,由此推出:
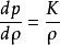
式中為管壁厚度;E為管壁材料的彈性模量。略去高階小量後可得出下列方程組:
式中c為壓力波傳播速度。這是一組雙曲型微分方程,可用有限差分方法或特徵線法進行數值計算。套用這些方程可計算水擊壓力。
