定義
(計量儀器的)基值誤差是指為校驗儀器而選用的規定標尺值或規定的被計量量值所引起的計量儀器誤差。
舉例
例1(1)選用規定的示值。如對普通準確度等級的衡器,載荷點50e和200e是必檢的(e是衡器的檢定分度值),它們在首次檢定時基值誤差分別不得超過±0.5e和±1.0e。再如,對於中(高)準確度等級的衡器,載荷點500e和2000e是必檢的,在首次檢定時,它們的基值誤差分別不得超過±0.5e和±1.0e。
(2)規定被測量值。如對於標準熱電偶的檢定或分度,通常選用鋅、銻及銅3個溫度固定點進行示值檢定或分度,則在此3個值上標準熱電偶的誤差,即為基值誤差。
通常測量儀器零值誤差均作為基值誤差對待,因為零值對考核測量儀器的穩定性和準確性具有十分重要的作用。
有時除規定示值或被測量值外,還規定某些影響量的值。此時評定得到的測量儀器示值誤差稱為基本誤差。例如,規定在頻率(影響量)為1kHz、電壓示值為1V時評定電壓的基本誤差 。
零值誤差
零值誤差是指被測量為零值時,測量儀器示值相對於零的差值,也可說是測量儀器零位誤差。通常在測量儀器通電情況下,稱為電氣零位,在不通電的情況下稱為機械零位。零位在測量儀器檢定、校準或使用時十分重要。各種指示儀表和千分尺、度盤、秤等都具有零位調節器,無需用標準器就能準確地確定測量儀器的零位,可以由檢定、校準或使用者調整,以便確保測量儀器的準確度。有的測量儀器零位不能進行調整,則此時零值誤差應作為測量儀器在示值為零處的基值誤差進行測定,並應滿足相應的允許誤差要求。
遊標卡尺的零值誤差為零劃線和尾刻線的重合度。
測量和測量誤差
有關名詞術語和定義
測量: 以確定量值為目的的一組操作 。
說明: (1) 操作可以是自動進行的;(2)測量有時也稱計量。
測量方法: 進行測量時所用的,按類別敘述的一組操作邏輯次序。
說明: 測量方法可按不同方式分類,如替代法、微差法、零位法。
測量程式: 進行特定測量時所用的,根據給定的測量方法具體敘述的一組操作。
說明: 測量程式 (有時被稱為測量方法) 通常記錄在檔案中,並且足夠詳細,以使操作者在進行測量時不再需要補充資料。
[測量結果的]重複性: 在相同測量條件下,對同一被測量進行連續多次測量所得結果之間的一致性。
說明:(1) 這些條件稱為重複性條件;(2) 重複性條件包括相同的測量程式,相同的觀測者,在相同的條件下使用相同的測量儀器, 在相同的地點,以及在短時間內重複測量;(3) 重複性可以用測量結果的分散性定量地表示。
[測量結果的]復現性:在改變了的測量條件下,同一被測量的測量結果之間的一致性。
說明:(1) 在給出復現性時,應有效地說明改變條件的詳細情況;(2) 改變條件可包括測量原理、測量方法、觀測者、測量儀器、參考測量標準、地點、使用條 件及時間;(3) 復現性可用測量結果的分散性定量地表示;(4) 測量結果在這裡通常理解為已修正結果。
修正值: 用代數法與未修正測量結果相加,以補償其系統誤差的值。
說明:(1) 修正值等於負的系統誤差;(2) 由於系統誤差不能完全獲知,因此這種補償並不完全。
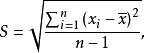
實驗標準[偏]差: 對同一被測量進行n次測量,表征測量結果分散性的量S,可按下式算出
基值誤差
基值誤差
基值誤差
基值誤差式中:——第次測量結果;——所考慮的n次測量結果的算術平均值。
說明:(1) 當將n個值視作分布的取樣時,x為該分布的期望的無偏差估計;(2) 將平均值的實驗標準偏差稱為平均值的標準誤差是不正確的。
[測量]誤差: 測量結果減去被測量真值。
說明:(1) 由於真值不能確定,實際上用的是約定真值;(2) 當有必要與相對誤差相區別時,此術語有時稱為測量的絕對誤差。注意不要與誤差的絕對 值相混淆,後者為誤差的模。
相對誤差: 測量誤差除以被測量的真值。
說明: 由於真值不能確定,實際上用的是約定真值。
測量儀器的[示值]誤差: 測量儀器示值與對應輸入量的真值之差。
說明: (1) 由於真值不能確定,實際上用的是約定真值;(2) 此概念主要套用於與參考標準相比較的儀器;(3) 就實物量而言,示值就是賦予它的值。
[測量儀器的]最大允許誤差: 對給定的測量儀器,規範、規程等所允許的誤差極限值。
說明: 有時也稱測量儀器的允許誤差限。
[測量儀器的]基值誤差: 為核查儀器而選用在規定的示值或規定的被測量值處的測量 儀器誤差。
[測量儀器的]零值誤差: 被測量為零值的基值誤差。
[測量儀器的]固有誤差: 在參考條件下確定的測量儀器的誤差。
[測量儀器的]引用誤差: 測量儀器的誤差除以儀器的特定值。
說明: 該特定值一般稱為引用值。例如,可以是測量儀器的量程或標稱範圍的上限。
[測量儀器的]偏移: 測量儀器示值的系統誤差。
說明: 測量儀器的偏移,通常用適當次數重複測量的示值誤差的平均來估計。
[測量儀器的]抗偏移性: 測量儀器給出不含系統誤差的示值的能力。
[測量儀器的]重複性: 在相同測量條件下,重複測量同一個被測量,測量儀器提供相 近示值的能力。
說明:(1) 這些條件包括: 相同的測量程式,相同的觀測者,在相同的條件下使用相同的測量設備, 在相同的地點,在短時間內重複;(2) 重複性可用示值的分散性定量地表示。
偏差:一個值減去其參考值。
隨機誤差:測量結果與在重複性條件下,對同一被測量進行無限多次測量所得結果的平均值之差。
說明:(1) 隨機誤差等於誤差減去系統誤差;(2) 因為測量只能進行有限次數,故可能確定的只是隨機誤差的估計值。
系統誤差: 在重複性條件下,對同一被測量進行無限多次測量所得結果得平均值與被測量的真值之差。
說明:(1) 如真值一樣,系統誤差及其原因不能完全獲知;(2)對測量儀器而言,參見“ [測量儀器的]偏移”。
修正值: 用代數方法與未修正測量結果相加,以補償其系統誤差的值。
說明:(1)修正值等於負的系統誤差;(2) 由於系統誤差不能完全獲知,因此這種補償並不完全 。
測量
從不同角度進行分類,可將測量分為不同的類別。按測量值獲得方法分類,可分為直接測量、間接測量和組合測量;按測量條件分類,可分為等精度測量和不等精度測量;按測量對象在測量過程中所處的狀態分類,可分為靜態測量和動態測量;按計量性質分類,可分為檢定測量和測試測量;按示值方式分類,可分為絕對測量和相對測量 (比較測量);按對加 工過程起的作用分類,可分為主動測量和被動測量;按被測量參數個數分類,可分為單項測量和綜合測量。
(1) 根據獲得測量結果的方式不同,可將測量分為直接測量、間接測量和組合測量三類。
1) 直接測量。指不必對與被測量有函式關係的其他量進行測量而能直接得到被測量值 的測量方法,可用下式表示
基值誤差
基值誤差
基值誤差式中:——欲求得的被測量值;——由實驗數據直接得到的值。
例如,用米尺測量長度,用電流表測量電流,用等臂天平測量質量等。
2) 間接測量。指通過對與測量有函式關係的其他量的測量以得到被測量值的測量方法, 可用下式表示
基值誤差
基值誤差
基值誤差式中:——欲求的被測量值;——通過直接測量得到的量值。
例如,在直流電路中用電流表和電壓表的讀數測量功率,用測電阻法求溫度,用測液體高度法求壓力,用電流天平測電流等。
(2) 根據測量原理和工具使用方法不同,總體上可以把一切測量歸結為直接估計法和比較法兩大類。
1) 直接估計法。指被測量對象的量值是根據一台儀表 (直接測量) 或幾台儀表 (間接 測量) 的示值推斷出來的。例如,用米尺測長度,用電流表和電壓表測量直流負載電阻等。
2) 比較法。其內容比較廣泛,特點是將被測量的量值與由量具所復現的量值進行比較, 量具直接參加測量過程。比較法可分為零值法、差值法、替代法、異號法及符合法等 。
測量誤差的來源
測量的目的在於求出被測量的真值,但由於一切測量結果都含有誤差,故真值是測不出來的。也就是說,一切測量結果都是近似值,只是近似程度有差別而已。
測量誤差主要來源於以下幾個方面:
(1) 被測量的定義不完整;
(2) 復現被測量的測量方法不理想;
(3) 取樣的代表性不夠,即被測樣本不能代表所定義的被測量;
(4) 對測量規程受環境影響的認識不充分,或對環境的測量與控制不完善;
(5) 對模擬式儀器的讀數存在人為偏移;
(6) 測量儀器的計量性能 (如靈敏度、鑑別力、分辨力、死區及穩定性等) 的局限性;
(7) 測量標準或標準物質的不確定度;
(8) 引用的數據或其他參量的不確定度;
(9) 測量方法和測量程式的近似和假設;
(10) 相同條件下,被測量在重複觀測中的變化。
對於那些尚未認識到的系統效應,顯然是不可能在不確定度評定中予以考慮的,但它可 能導致測量結果的誤差 。

