形成原因
實驗表明,影響地基反力分布形式的因素較多,如基礎和上部結構的剛度、建築物的荷載分布及其大小、基礎的埋置深度、基礎平面的形狀和尺寸、有無相鄰建築物的影響、地基土的性質(如土的類別、非線性、蠕變性等)、施工條件(如施工引起的基底土的擾動)等。
地基反力
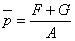
地基反力對於柔性基礎,由於其剛度很小,在豎向荷載作用下沒有抵抗彎曲變形的能力,能隨著地基一起變形。因此,地基反力的分布與作用與基礎上的荷載分布是一致的。如圖9—1所示。柔性基礎在均布荷載作用下,其沉降特點是中部大、邊緣小。
剛性基礎受荷後基礎不發生撓曲,且地基與基礎的變形協調一致。因此,在軸心荷載作用下地基表面各點的豎向變形值相同。理論計算與試驗均表明,軸心受荷時剛性基礎典型的地基反力分布曲線形式有:(d)凹拋物線形;(b)馬鞍形;(c)凸拋物線形;(d)鐘形,如圖9-2所示。當荷載較小時,地基反力分布曲線呈凹拋物線或馬鞍形;隨著荷載的增大,位於基礎邊緣部分的地基土產生塑性變形區,邊緣地基反力不再增大,而荷載增加部分則由中間部分的土體承擔,中間部分的地基反力繼續增大,地基反力分布曲線逐漸由馬鞍形轉變為拋物線形;當荷載接近地基土的破壞荷載時,地基反力分布曲線又由拋物線形變成鐘形。
在實際工程箱形基礎地基反力測試中,常見的地基反力分布曲線是凹拋物線形和馬鞍形,一般難以見到凸拋物線形和鐘形。主要原因是測試時地基承受的實際荷載很難達到考慮各種因素的設計荷載值,同時,設計採用的地基承載力也有一定的安全係數,因此,地基難以達到臨塑狀態。測試還表明:地基反力分布一般是邊端大、中間小,反力峰值位於邊端附近;並且,基礎的剛度越大,反力越向邊端集中。
簡化計算
實用上,通常將地基反力假設為線性分布情況按下列公式進行簡化計算:
地基反力地基平均反力 (3-4)
地基反力地基邊緣最大與最小反力 (3-5)
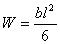
地基反力式中 F為作用在基礎頂面通過基底形心的豎向荷載,kN; G為基礎及其台階上填土的總重,kN, G= g Ad,其中 g為基礎和填土的平均重度,一般取 g=20kN/m,地下水位以下取有效重度, d為基礎埋置深度; M為作用在基礎底面的力矩, M=( F+ G)· e, e為偏心距; W為基礎底面的抗彎截面模量,即
式中 l, b為基底平面的長邊與短邊尺寸。
將 W的表達式代入(3-5)式得
地基反力(3-5)
1)當 e<l/6 時,基底地基反力呈梯形分布, p>0;
2)當 e=l/6 時,基底地基反力呈三角形分布, p=0;
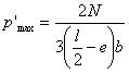
地基反力3) e>1/6 時,即荷載作用點在截面核心外, p<0;基底地基反力出現拉力。由於地基土不可能承受拉力,此時基底與地基土局部脫開,使基底地基反力重新分布。根據偏心荷載與基底地基反力的平衡條件,地基反力的合力作用線應與偏心荷載作用線重合得基底邊緣最大地基反力 p'為:
地基反力圖3-5 基底反力分布的簡化計算
(a)中心荷載下(b)偏心荷載 e<l/6時(c)偏心荷載 e>l/6時

