地下水水質分析
正文
套用化學或其他檢測技術,測定地下水中各組分含量的方法。它為解決各種水文地質理論和實際問題,提供水質數據。分類 按目的常分為簡分析、全分析及專門分析。①簡分析,其目的是一般地了解地下水的物理性質和化學成分。分析項目常為:溫度、色度、嗅、味及濁度及Ca2+、Mg2+、K+、Na+、CO卲、HCO婣、Cl-、SO厈、總硬度、溶解性總固體、游離二氧化碳、pH值等。②全分析,其目的是詳細地了解地下水的物理性質和化學成分,除簡分析項目外,增加Fe3+、Fe2+、NH嬃、Al3+、NO婣、NO娛、F-、Br-、I-、暫時硬度、永久硬度、化學需氧量、侵蝕性二氧化碳、矽酸、硼等。③專門分析,根據專門任務的目的與要求,對地下水中某些組分進行的分析。為水文地球化學目的檢測銅、鉛、鋅、鐵、錳、鎳、鈷等微量金屬組分,1H、3H、18O、14C等同位素及溶解和逸出的氧、氮、一氧化碳、二氧化碳、甲烷、硫化氫、氬、氦等氣體或稀有氣體成分;為毒理學目的檢測汞、鎘、鉻、砷、硒、氰化物、揮發酚類、苯並(α )芘、三氯甲烷、四氯化碳、有機氯、有機磷、總α 及總β;為細菌學目的檢測總大腸菌群、細菌總數。
分析方法 分析化學的各種手段,幾乎都已套用於地下水質分析。根據水中欲測組分的含量及要求的分析精度,選擇適合的檢驗方法。滴定法測定Ca2+、Mg2+、Cl-、SO厈、鹼度、硬度;比色法測定Fe2+、Fe3+、NH嬃、NO娛、NO婣、Br-、I-、F-;離子選擇電極法測定F-、NH嬃、CN-;原子吸收或原子發射光譜法測定鈣、鎂、銅、鉛、鋅、鎘、鐵、錳、鎳、鈷、鉻、鉀、鈉、鋰、銣、銫、鍶等;極譜法測定銅、鉛、鋅、鎘、鉻、鉬、釩、鎳、鈷、鎢及硒;原子螢光光譜法測定砷、硒;離子色譜法測定鋰、鈉、鉀、銨、Cl-、SO厈、NO婣、I-;氣相或液相色譜法測定氧、氮、一氧化碳、二氧化碳、甲烷、硫化氫、氬、氦、苯並(α)芘、有機氯及有機磷農藥殘留物、鹵代烷;質譜法測量18O、1H;射氣法測量226Ra、222Rn、總α 、總β。
分析結果表示 通常用毫克/升、微克/升和毫克當量/升表示。對密度不等於1.00的鹽水、滷水等,用克/千克、毫克/千克表示,在報告分析結果時,同時註明水的密度。也可用ppm和ppb表示分析結果。當溶液的密度為1.00時,ppm與毫克當量/升表示的數值是相等的。對於硬度、鹼度及酸度,以每升水中含有相當於碳酸鈣的毫克數表示。由於硬度幾乎全是由鈣、鎂形成,故也有用毫摩爾/升表示硬度。各國對硬度曾有不同的表示方法。
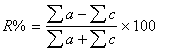
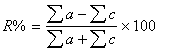
質量保證 質量保證包括樣品的採集與保存、檢驗方法、分析測試及質量監控。這些工作中任一環節導致的誤差,最終都會傳遞到分析結果。但不管制度如何完善,誤差總是存在,因而對分析結果需從實驗室內部和實驗室之間兩個方面來進行質量評估。對全分析結果的質量評估,曾採用陰離子毫克當量數總和(∑a)與陽離子毫克當量數總和(∑c)是否接近來評估,其偏差為

在環境監測或微量組分分析中,普遍採用簡單數理統計方法,繪製質量控制圖和平行雙樣、加標回收等方法,進行日常質量監控,以評估分析質量和保證分析結果具有可靠性和可比性。

