定義
定義一
圖解法解線性規劃問題:只含有兩個決策變數的線性規劃問題,可以通過在平面上作圖的方法求解,這種求解線性規劃問題的方法稱為 圖解法。該方法簡單直觀,有助於我們理解求解線性規劃問題的基本原理,用圖解法解題時,不必將數學模型標準化,易於施行,但是我們一般只用圖解法求解含兩個變數的線性規劃問題。
定義二
圖解法解其他數學運算:圖解法是指利用圖形來解決數學運算的方法。數學運算的本質是通過尋找數與數之間的關係來解決實際問題,整個過程比較抽象。如果我們能夠利用圖形這種工具,將複雜的數字之間的關係用圖形形象地表示出來,能夠更快更準地解決問題。
線性規劃問題
解題步驟
當我們用圖解法解線性規劃問題時,遵從如下步驟:
第一步,在平面上建立平面直角坐標系;
第二步.圖示約束條件,找出可行域或判定可行域是空集;
第三步,圖示目標函式,尋找最優解。
例題解析
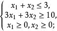
例1 試用圖解法求解下面的線性規劃問題:
圖解法
圖解法解 首先,按如下步驟繪出可行域(圖1中陰影部分):
(1)繪出平面直角坐標系;
圖解法(2)繪出直線,第一個約束不等式是“≤”,故可行域位於直線的左下方;
圖解法
圖解法(3)同理,依次繪出直線 與直線 ,判別可行域的方位;
圖解法(4)根據 ,繪出可行域;
圖解法
圖解法
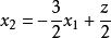
圖解法其次,目標函式 可以變形為 ,即相應的直線族在 軸上截上截距的2倍是目標函式值。
圖1我們可以看到最優值應該在頂點C(4,1)取得,最優值是16。若求目標函式的最小值,則最小值是0,在原點O(0,0)取得。
通過觀察可行域,發現:可行域中任意兩點連線上的點仍在可行域內,即可行域是凸集,在描繪可行域時,我們亦可以利用原點判別可行域與已知直線的關係。
線性規劃問題的解的可能性
1.有唯一最優解的情況
例1即為此情形。
2.有多個最優解的情況
圖解法若將例1中的目標函式變更為 ,則目標函式族與線段BC所在的直線平行,線段BC上的所有點均是最優解,最優值唯一。
3.無有限最優解的情況
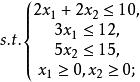
若某個線性規劃問題的可行域是無界的,則有可能出現無有限最優解的情況,如將例1變更為:
圖解法
圖解法
圖解法其可行域是可以向上無限延伸的無界區域,最優解是 。
同時需注意到可行域無界並不意味著一定無有限最優解,若將本例中目標函式的最大值變更為求目標函式的最小值,此時有有限最優值0。
一般的,若對某實際問題進行求解時,出現了無有限最優解的情況,多表示數學模型中缺少必要的約束條件。
4.可行域是空集
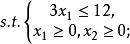
若某個線性規劃問題的約束條件是
圖解法則此問題的可行域是空集,該問題無可行解。
若解某個實際問題的數學模型時,出現可行域是空集的情形,多是某一約束條件出現了偏差。
圖解法的進一步討論
前面我們已經研究了圖解法的基本理論,在現實操作中,由於種種原因可能會引起偏差乃至錯誤。
如果約束不等式的右端項的數值較大,遠大於工藝係數,我們用圖解法解決相應問題時就可能由於觀測或操作的原因(畫圖或直線平移等)導致錯誤發生;所得到的最優解並非是真正的最優解,為此,我們可以根據定理(如果線性規劃問題(P)有有限最優解,則其目標函式的最優值一定可以在可行域的頂點上達到),採用頂點比較法尋求線性規劃問題的最優解,所謂頂點比較法是先求出可行域的所有頂點的坐標,而後分別計算目標函式在頂點的函式值,通過比較大小而得出最優值的方法。
除頂點比較法外,還可以用斜率比較法減少上述錯誤的發生,所謂斜率比較法是指先求出目標函式的斜率(稱為目標斜率),而後,將難以判別是否是最優解的頂點的邊界連線所在直線的斜率求出,將其與目標函式進行比較,最終得出最優解的方法。
此外,還可以利用目標函式參與法求簡單線性規劃的最優整數解。
其他數學問題
適用範圍
一般說來,圖解法適用於絕大部分題型,尤其是在行程問題、年齡問題、容斥問題等強調分析過程的題型中運用得很廣。圖解法簡單直觀,能夠清楚表現出問題的過程變化,但是容易出錯,在畫圖形的時候一定要保證圖形和數字保持一一對應的關係。
例題解析
某人上午8點要去上班,可是發現家裡的鬧鐘停在了6點10分,他上足發條但忘了對表就急急忙忙地上班去了,到公司一看還提前了10分鐘。中午12點下班後,回到家一看,鬧鐘才11點整,假定此人上班、下班在路上用的時間相同,那么他家的鬧鐘停了多少分鐘?
A.100 B.90 C.80 D.70
解析:這個忘了上發條的時鐘問題實際對應的是一個時間軸,我們選擇此模型分析題乾情境。
圖2如圖,這個人8點上班,12點下班,把相應的信息對應在時間軸上。到公司時提前了10分鐘說明實際抵達時間為7點50分。上下班時間相同,設為x分鐘。把這人出發與回到家的時間也分別寫在對應的時間軸上。
鬧鐘從6點10分走到11點,共走了4小時50分,也就相當於2x+10分鐘+4小時,即4小時50分=2x+10分鐘+4小時,可知x=20分鐘。
從而可知這個人從家出發的時間為7點30分,而此時鬧鐘停在了6點10分,所以鬧鐘停了60+20=80分鐘。

