簡介
圓形截線是一種特殊截線。
若存在一族平行平面,它們與二次曲面的交線為圓,則稱這些交線為圓形截線。這族平面中若有與曲面相切的,則切點就是二次曲面的圓點。
類型
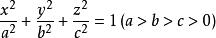
橢球面
圓形截線
圓形截線
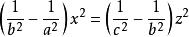
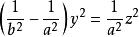
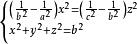
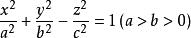
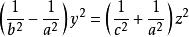
圓形截線橢球面與兩個平面的交線是兩個圓,所以,三軸橢圓面存在兩族平行的圓形截線,有四個圓點。長球面和扁球面僅有兩個圓點,球面上每一點都是圓點。
單葉雙曲面
圓形截線
圓形截線單葉雙曲面與兩個平面的交線是圓。
雙葉雙曲面
圓形截線
圓形截線雙葉雙曲面與兩個平面平行的截口也是圓。因此,它們有且僅有兩族平行的圓形截線,雙葉雙曲面上有四個圓點,單葉雙曲面上沒有圓點,而當a=b時,旋轉雙曲面上只有一族平行的圓形截線。
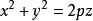
橢圓拋物面
圓形截線
圓形截線
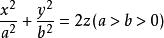
圓形截線橢圓拋物面與兩個平面的交線是圓,可見它有兩族平行的圓形截線,有兩個圓點。而當a=b時,旋轉拋物面僅有一族平行的圓形截線和一個圓點。
