基本介紹
圓內接折四邊形是與圓相關的一個折四邊形,指四個頂點在同一圓上的折四邊形。此圓稱為折四邊形的外接圓。
圓內接折四邊形判定定理:如果折四邊形的一組對角相等,那么這個折四邊形內接於圓。
如圖1,折四邊形ABCD中,一組對角∠A=∠C,那么折四邊形內接於一個圓。
反之,圓內接折四邊形性質定理:圓內接折四邊形的兩組對角都相等。
如圖1,折四邊形ABCD內接於⊙O,那么∠A=∠C,∠B=∠D 。
圖1圓內接四邊形
圓內接四邊形(inscribed quadrilateral)是具有四條邊的圓內接多邊形。圓內接四邊形或為凸四邊形或為折四邊形,若為前者,其對角互補;任一外角等於其內對角,如圖2。若為後者,其對角相等。上述兩者其逆命題均成立,它們均是證明四點共圓的主要定理 。
圖2 圓內接凸四邊形 | 圖3 圓內接折四邊形 |
圓內接四邊形相關結論
圓內接折四邊形
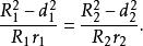
圓內接折四邊形命題1 設⊙O的圓心,半徑分別為O、R。ABCDE是⊙O的任一內折四邊形(C是折點)。記△CAB、△CDE分別是△₁、△₂。再記: 分別是△的內心、內切圓半徑,且 ,則
圓內接折四邊形
圖4
圓內接折四邊形
圓內接折四邊形命題2 設⊙O的圓心、半徑分別為O、R。ABCD是⊙O的任一內接四邊形。若記△ABC、△ABD分別為△₁、△₂。再記 分別是△的內心、內切圓半徑,且,則有
圓內接折四邊形引用察柏爾(chapple)定理,可以獲得下面結論 。
圓內接折四邊形
圓內接折四邊形
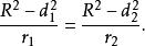
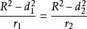
圓內接折四邊形命題3記的外心、內心、外接圓半徑、內切圓半徑分別為,且,則有
圖5
圓內接折四邊形察柏爾定理:若△ABC的外接圓半徑、內切圓半徑分別為R、r,而△ABC的內、外心距為d,則R²-d²=2Rr。
圓內接折四邊形
圓內接折四邊形
圓內接折四邊形命題4 設⊙O的圓心、半徑分別為O、R。ABCDE是⊙O的任一內折四邊形(C是折點)。記△CAB、△CDE分別是△₁、△₂;再記:分別是的內心、內切圓半徑、外接圓半徑,且,則有
圓內接折四邊形
圓內接折四邊形注1 本命題的結果很容易得到:。
圓內接折四邊形
圓內接折四邊形注2 若考慮本命題討論圖形的以下極端情況:△CDE退縮為一點,△CAB脹至內接⊙O,則有R²-d²=2Rr(r、R分別為△ABC的內切圓半徑和外接圓半徑;,是△ABC的內心)。此便是察柏爾定理 。
圖6
圖2 圓內接凸四邊形
圖3 圓內接折四邊形 