定義
什麼是三稜錐
幾何體,錐體的一種,由四個三角形組成,亦稱為四面體,它的四個面(一個叫底面,其餘叫側面)都是三角形。
平面上的多邊形至少三條邊,空間的幾何體至少四個面,所以四面體是空間最簡單的幾何體。四面體又稱三稜錐。三稜錐有六條棱長,四個頂點,四個面。底面是正三角形,頂點在底面的射影是底面三角形的中心的三稜錐稱作正三稜錐;而由四個全等的正三角形組成的四面體稱為正四面體。
三稜錐是一種簡單多面體。指空間兩兩相交且不共線的四個平面在空間割出的封閉多面體。它有四個面、四個頂點、六條棱、四個三面角、六個二面角與十二個面角。若四個頂點為A,B,C,D.則可記為四面體ABCD,當看做以A為頂點的三稜錐時,也可記為三稜錐A-BCD。四面體的每個頂點都有惟一的不通過它的面,稱為該頂點的對面,原頂點稱這個面的對頂點。在四面體的六條棱中,沒有公共端點的兩條稱為對棱。四面體有三雙對棱。且對棱的中點連結的線段(三條)彼此平分於同一點即四面體的重心,亦稱四面體的形心。四面體的四個頂點與所對面(三角形)的重心連線(四條線段)必相交於同一點,即四面體的重心。若在四面體的四個頂點處各置重量相同的質心,則這個質點系的質心就在該四面體的重心處。或者當四面體由均勻物質構成時,它的質心就在四面體的重心處.四面體的重心平分四面體的每一雙對棱中點連線。連結四面體的頂點與所對面的重心的線段,被四面體的重心內分為3∶1(從頂點量起)。過四面體的每雙對棱作一對平行平面,這三對平行平面圍成一個平行六面體,即為原四面體的外接平行六面體,四面體的棱都是其外接平行六面體的面(平行四邊形)上的對角線.四面體的重心平分其外接平行六面體的每一條對角線.除重心性質外,四面體還有如下的性質:
1.四面體的每一條棱與其對棱的中點確定一個平面,這樣的六個平面共點。
2.四面體外接平行六面體的各棱分別平行且等於四面體中連結各對棱中點的線段。
3.四面體的六條棱的六個中垂面共點,這點是四面體外接球的中心.每個四面體有惟一的外接球。
舉例
弓箭頭、三棱刮刀、 其實所有長方體的物體切下的的角都是三稜錐
相關計算
h為底高(法線長度), A為底面面積, V為體積,L為斜高,C為稜錐底面周長有:
三稜錐稜錐的側面展開圖是由4個三角形組成的,展開圖的面積,就是稜錐的側面積,則 :(其中 S, i= 1,2為第i個側面的面積)
S=S+S
S=1/2CL+S
V=S(底面積)·H(高)÷3
一個三稜柱中的三個等體積的三稜錐
四面體[數學概念]三稜錐體積公式證明:h為底高(法線長度),A為底面面積,V為體積,L為斜高,C為稜錐底面周長
三稜錐的底面面積S加頂點A'面積0除以2的平均面積1/2S的一個三稜柱乘以高h,就是三稜錐體積:
V=1/2(S+0)h=1/2Sh
S面積三角形AC乘h'除以2
例題
如圖,這是一個一般的三稜柱ABC-A'B'C',它的體積可以分為三個等體積的三稜錐,即三稜錐C-A'AB,三稜錐C-A'B'B,三稜錐A'-CB'C'。
因為三稜柱的側面A'ABB'是平行四邊形,所以△A'AB的面積=△A'BB'的面積,即其中三稜錐C-A'AB與三稜錐C-A'B'B的底面積相等,它們兩個的頂點都是C,即C到它們底面的距離都相等,所以三稜錐C-A'AB與三稜錐C-A'B'B的體積相等。而三稜錐C-A'B'B也可以看作是三稜錐A'-BCB',且三棱等),且它們兩個的頂點都是A',即A'到它們底面的距離都相等,所以三稜錐A'-CB'C'與三稜錐A'-BCB'的體積也相等,故三稜錐C-A'AB,三稜錐C-A'B'B,三稜錐A'-CB'C'的體積都相等。
三稜錐公式
海倫秦九韶體積公式
四面體[數學概念]已知三稜錐棱長求其體積的體積公式。
四面體[數學概念]任意一個三稜錐或者說四面體,其棱為a,b,c,d,e,f,其中a與d,b與e,c與f互為對邊,那么有三稜錐(四面體)的體積公式為 :
內切球心
正三稜錐內切球心在頂點與底面重心的連線的距底面1/4處。
相關計算:因為正三稜錐底面為正三角形,所以高線位於任意頂點與底邊中點連線,又三線合一,所以重心位於高線距頂點2/3處,即可算出頂點與重心的距離,又知正三稜錐邊長,即可根據勾股定理算出圓心所在直線(即頂點與底面重心的連線)的長度,即可算出底面與球心的距離(即內切球半徑)。
一般的三稜錐內切球心在四個面上的射影與四個面的重心重合,據此可確定球心位置。
外接球心
正三稜錐外接球心在頂點與底面重心的連線的距底面1/4處。
相關計算:和計算內切球心一樣算出圓心所在直線(即頂點與底面重心的連線)的長度,即可算出頂點與球心的距離(即外接球半徑)。
一般的三稜錐外切球心在四個面上的射影與四個面的外心重合,據此可確定球心位置。
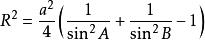
四面體[數學概念]
四面體[數學概念]
四面體[數學概念]其中R為外接球半徑,a、A、B如圖,為A、B所在面二面角。
四面體[數學概念]若二面角為90°,即兩面垂直時公式簡化為
與棱相切的球心
正三稜錐的與棱相切的球心在頂點與底面重心的連線的距底面1/4處(正三稜錐三心重合)
一般的三稜錐與四條棱都相切的球心在四個面上的射影與四個面的內心重合,據此可確定球心位置。
三稜錐頂點射影與底面三角形的“心”
設有三稜錐P-ABC,P在平面ABC上的射影為O,現討論當三稜錐滿足什麼條件時,O分別是△ABC的外心、內心、旁心、重心、垂心(三角形五心)。
外心
若O是△ABC的外心,則OA=OB=OC。由於OP⊥平面ABC(射影的定義),因此OP⊥OA、OP⊥OB、OP⊥OC。勾股定理得PA=PB=PC。又tanPAO=OP/OA,tanPBO=OP/OB,tanPCO=OP/OC,由此可知∠PAO=∠PBO=∠PCO。
綜上,可得到以下定理:
當三稜錐的三條側棱相等時,頂點在底面的射影是底面三角形的外心。
當三稜錐的三條側棱與底面所成角相等時,頂點在底面的射影是底面三角形的外心。
1.當三稜錐的三條側棱相等時,頂點在底面的射影是底面三角形的外心。
2.當三稜錐的三條側棱與底面所成角相等時,頂點在底面的射影是底面三角形的外心。
內心
若O是△ABC的內心,則O到三邊距離相等,且O在△ABC內。設O到BC、AC、AB的垂線段分別為OD、OE、OF,那么OD=OE=OF。由勾股定理得PD=PE=PF。又tanPDO=OP/OD,tanPEO=OP/OE,tanPFO=OP/OF,因此∠PDO=∠PEO=∠PFO。且由三垂線定理可知PD⊥BC、PE⊥AC、PF⊥AB,即∠PDO、∠PEO、∠PFO分別是二面角P-BC-A、P-AC-B、P-AB-C的平面角。
綜上,可得到以下定理:
當三稜錐的頂點到底面三角形三邊距離相等,且頂點在底面的射影在底面三角形的內部,那么射影是內心。
當三稜錐的各個側面與底面構成的二面角相等,且頂點在底面的射影在底面三角形的內部,那么射影是內心。
1.當三稜錐的頂點到底面三角形三邊距離相等,且頂點在底面的射影在底面三角形的內部,那么射影是內心。
2.當三稜錐的各個側面與底面構成的二面角相等,且頂點在底面的射影在底面三角形的內部,那么射影是內心。
旁心
由於旁心和內心的性質相同,都是到三角形三邊距離相等的點。只不過內心在三角形內部而旁心在三角形外部。所以討論的思路和內心相同,差異就在O與△ABC的位置關係而已。因此直接得到以下定理:
當三稜錐的頂點到底面三角形三邊距離相等,且頂點在底面的射影在底面三角形的外部,那么射影是旁心。
當三稜錐的各個側面與底面構成的二面角相等,且頂點在底面的射影在底面三角形的外部,那么射影是旁心。
1.當三稜錐的頂點到底面三角形三邊距離相等,且頂點在底面的射影在底面三角形的外部,那么射影是旁心。
2.當三稜錐的各個側面與底面構成的二面角相等,且頂點在底面的射影在底面三角形的外部,那么射影是旁心。
垂心
若O是△ABC的垂心,則有OA⊥BC,OB⊥AC,OC⊥AB。又因為O是P的射影,由三垂線定理可知PA⊥BC,PB⊥AC,PC⊥AB。推廣來看,從PA⊥BC可以聯想到PA⊥平面PBC,而根據線面垂直的判定定理,PA⊥平面PBC的條件是PA⊥PB,PA⊥PC。同理,PB⊥PA,PB⊥PC;PC⊥PA,PC⊥PB。即PA、PB、PC兩兩垂直。
綜上,可得到以下定理:
當三稜錐的三條側棱兩兩垂直(或每條側棱都與所對的側面垂直)時,頂點在底面的射影是底面三角形的垂心。
當三稜錐有兩條側棱與對應的對邊垂直時,第三組側棱與對邊也垂直,且頂點在底面的射影是底面三角形的垂心。
1.當三稜錐的三條側棱兩兩垂直(或每條側棱都與所對的側面垂直)時,頂點在底面的射影是底面三角形的垂心。
2.當三稜錐有兩條側棱與對應的對邊垂直時,第三組側棱與對邊也垂直,且頂點在底面的射影是底面三角形的垂心。
重心
定理:
當三稜錐的任一側棱的平方的3倍與其對棱平方之和為定值時,該三稜錐的頂點在底面上的射影是底面的重心。
1.當三稜錐的任一側棱的平方的3倍與其對棱平方之和為定值時,該三稜錐的頂點在底面上的射影是底面的重心。
![四面體[數學概念] 四面體[數學概念]](/img/6/343/nBnauM3X1ITO2kzNxIDNzEzM1UTM1QDN5MjM5ADMwAjMwUzLyQzL3czLt92YucmbvRWdo5Cd0FmL0E2LvoDc0RHa.jpg)
