基本信息
關於嗅覺產生的機理,很多研究者都從不同的角度提出了一些理論用以解釋,但並不完善。目前能被人們普遍接受的是產生嗅覺的基本條件,這些條件包括:產生氣味的物質本身能揮發,這樣才能在呼吸作用下到達鼻腔內的嗅感區;氣味物質既能在嗅感黏膜中溶解,也能在嗅細胞的脂肪或脂類末端溶解;氣味物質若在嗅感區域內溶解後,會引發一些化學反應,反應生成的刺激傳入大腦則產生嗅覺。
關於嗅覺產生的理論很多,至今不下50種。 目前影響較大的嗅覺理論有以下幾種。
立體結構理論
1946年,諾貝爾獎獲得者-萊納斯·鮑林(Linus Pauling)描述了特殊的氣味與分子的形狀以及大小有關。在Jone Amoore寫的《氣味的分子基礎》( Molecular Basis of Odor)一書中,他擴展了“立體結構理論”。該理論首先由R.W.Moncrieff於1949年提出。他認為,空氣中的化學物質之所以能夠被嗅聞到,是因為這些分子正好適合存在於嗅覺神經上特定感覺接受器的位點。這樣一個“鎖一鑰”的途徑其實來源於酶反應的動力學。Amoore在研究了600個有機化合物的呈香特徵後,發現有7種原臭出現的頻次較高。1962年,他提出原臭概念(醚臭、樟腦臭、麝香、花香、薄荷香、刺激臭和惡臭),並對各種分子的體積、形狀與它們的氣味做了比較。 每個這種細胞只含有一種氣味感受器,每個感受器只能探測到數量有限的氣味。
當氣味分子被吸入時,對這些氣味很敏感的嗅覺感受器細胞就會將信息傳給充當鼻腦中轉站的“嗅球”,再由“嗅球”向大腦其他部位傳送信息。因此,不同的氣味感受器細胞所得到的信息在大腦進行整合,形成了每種氣味所具有的“特徵性的模式”(就像不同的鎖一樣,而氣味分子就像一把把鑰匙,只可以打開與之相配的鎖,對特定的嗅覺感受器產生刺激)。 由此,我們可以自由地感受到識別的氣味。他認為,決定物質氣味的主要因素是整個分子的幾何形狀,而與分子的結構或組成無關。
立體結構理論經歷了多年的興起與衰退,原臭的概念也已經風光不再。雖然到目前為止,還沒有一個理論能夠解釋特殊的嗅覺缺失症。有結果表明,將無性繁殖的嗅覺感受器克隆到小鼠中,這樣的感受器只能認識有限的醛類香氣。而激活作用是由7-10個碳的醛而不是6-11個碳的醛引起的。因為醛有著相同的側鏈基團(-C=0),因而推斷這個感受器只與鏈長(如形狀)有關,而與側鏈基團無關。但這並不能排除其它的感受器對側鏈基團的回響,因而該結果仍然是支持立體結構理論的。
分子振動理論
早在20世紀二三十年代,戴遜(Malcolm Dyson)就大膽地猜想嗅覺是通過對氣味分子的振動來探測區分不同的化學物質,提出了分子的紅外振動(infrared resonance,IR)可能與氣味有關,稱為氣味振動理論。分子振動理論認為香氣是由香氣分子的電子振動產生,氣味特徵與氣味分子的振動頻率有關,在口腔溫度範圍內。氣味分子振動能級在紅外或拉曼光譜區,人的嗅覺受體感受到分子的振動能,並產生信號。該理論在20世紀50年代因Wright而流行。
許多香氣的振動頻率是在紅外區域。分子的紅外振動是不是與嗅覺有關呢?雄蛾撲向蠟燭是因為蠟燭發出的紅外光與雌蛾的生物信息素是相同的。IR的不同頻率可能會產生不同的氣味。20世紀60年代和70年代初,激烈的爭論因化學氣味物的分類而產生。到70年代中期,經嚴格的實踐檢驗,Wright的理論失敗了,因為光學異構體的薄荷醇和香芹酮具有明顯不同的氣味,而相應的紅外光譜是相同的。
而近代則以麻省理工學院生物物理學教授都靈(Dr.Luca Turin)的嗅覺理論為首。1996年,Turin提出了振動誘導電子隧道分光鏡理論(vibretional induced electron tunneling spectro-scope theory)。該理論來源於氣味振動理論。該理論認為,感受器蛋白起著“生物分光鏡”的作用,稱為“無彈性的電子隧道”。當嗅覺感受器蛋白結合一個香氣後,穿過結合位點形成一個電子隧道。嗅覺感受器的結合位點在充滿和沒有電子的情況下,有一個能量的差,假如振動模型與能量差相等,就形成電子隧道,電子隧道激活G-蛋白,嗅覺感受器通過“諧調”其振動頻率,以保持與特定香氣的振動頻率一致,正如人眼的圓錐細胞“諧調”到特定光波長一樣。他認為要找到一個不含巰基的分子,卻含另一個與巰基有相同振動頻率的基團,而且這聞起來也有臭雞蛋味。例如,Cis-3-Hexene 10L和Cis 3-Hexene lthiol(臭雞蛋味)的形狀一樣,味道不一樣。都靈用計算機算出巰基的振動頻率,發現唯有硼氫鍵具有與之幾乎完全相同的振動頻率。常見含硼氫鍵的物質硼烷在自然界本不存在。所以都靈得出了一個結論:兩種具有完全不同化學組成的分子形狀不同卻有相似的氣味,而它們恰恰都含有相同振動頻率的化學鍵,這強烈地暗示著氣味和分子振動頻率有著密切的關係。
吸附理論
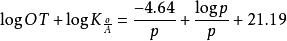
吸附理論認為,嗅感黏膜吸附進入嗅感區的氣味物質,這種吸附導致黏膜位置發生變化,進而誘發產生嗅覺的神經脈衝。在這個過程,氣味被感受的程度,主要取決於氣味分子從氣相轉移到液相黏膜上的吸附能力,以及吸附這些分子引起的膜換位,後者主要受分子形狀和分子大小的影響。 按上述概念,吸附理論的提出者推出計算嗅覺閾值的通用公式:
嗅覺理論公式中:OT-嗅閾值
K-氣味分子在脂相和水相接觸面上的吸附係數;
P-所吸附的氣味分子數量
按上述公式,一種氣味物質若帶有強烈氣味,則該物質的K值應比較大,而P值應比較小。
酶理論
酶廣泛存在於人體各部位,嗅感區也不例外。酶理論著重強調嗅覺產生過程中酶所起的作用。該理論假定進入嗅感區前,氣味物質能抑制該區域內的一類或多類酶系的活性,這種有選擇的抑制改變了嗅感受體上各種化合物間的相對濃度,從而引發產生嗅覺的神經脈衝。
在酶理論中,位於嗅感黏膜上的脂類在感受氣味時最重要,試驗已經證實,在嗅感及味感黏膜上發現的鹼性磷酸酯酶的活性,可被香草、咖啡等物質所抑制,但糖、鹽和奎寧等物質卻不能抑制這種酶的活性,奎寧能夠抑制脂酶的活性,而糖、鹽類物質則不能。以上事實說明,在嗅感及味感形成過程中,有酶活性及某些物質濃度的變化。但是,也有研究者反對這樣的解釋,因為酶很少被某一特定物質所抑制,許多無氣味的物質同樣也會抑制酶活性,即使氣味物質抑制酶活性而產生嗅覺的論斷成立,也不能圓滿解釋某些氣味物質在非常低的濃度下就能被感覺,因為此時氣味物質的濃度從理論上說,不是對酶產生抑制作用。酶理論雖然能解釋嗅覺產生的此現象,但這不是一個完整闡述嗅覺形成機理的理論。
薩姆納理論
薩姆納總結了前人有關嗅覺方面的各種理論解釋,如吸附理論、酶理論、吸收理論、嗅覺生理學解釋等。他提出:依據現在所掌握的實驗技術和已經取得的數據,形成一個完整的理論相當困難,只能在此基礎上捕繪出嗅覺理論的粗略輪廓和嗅覺產生的過程。薩姆納理論概括如下:首先有帶有氣味的化學物質Ⅰ會與嗅感受體A反應,從A 上可釋放出分子,這些釋放出的分子刺激嗅感傳導神經產生一個脈衝;另一種帶有氣味的化學物質Ⅱ會與嗅感受體B反應,從B釋放出的分子產生另一種刺激脈衝。物質Ⅱ還可以與感受體c反應,從c上釋放分子。從感受體上釋放的分子數量與氣味物質的量成正比。物質Ⅰ與嗅感受體A反應較快,只有極少量與感受體B、C反應,當有氣味的物質與嗅感受體反應一段時間後,由於嗅感受體連續釋放分子,造成嗅感受體上缺少有效分子,這時就產生嗅覺疲勞現象,直到這類分子得到補充為止。由於每個人在嗅感區內所擁有的嗅感受體A、B或C數量不同,因此造成某些人對一些特定氣味非常敏感,而對另一些氣味則比較遲鈍。

