基本介紹
單項式的加減法法則 幾個單項式相加域,只要用加、或號把它們連結起來,寫成代數和的形式,再合併同類項。例如,單項式3a²加上﹣2b²減去2a²減去﹣7a加上6所得的結果是: 3a²+(﹣2b²)-2a²-(﹣7a)+6=3a²-2b²-2a²+7a+6=a²+7a-2b²+ 6 。
幾個單項式相加減,實際上只是對同類項的係數進行加減運算。
註:把多項式里的同類項合併成一項,叫做合併同類項。合併同類項時,把同類項的係數相加,所得的結果作為係數,字母和字母的指數不變。
例題解析
單項式加減法法則【例1】求單項式 的和。
單項式加減法法則解:
單項式加減法法則
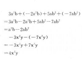
單項式加減法法則【例2】計算單項式的和(差) :
單項式加減法法則
單項式加減法法則(1)求單項式 與 的和;
單項式加減法法則
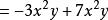
單項式加減法法則(2)求單項式 與 的差;
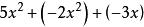
單項式加減法法則(3)求 的結果。
單項式加減法法則解:(1)
單項式加減法法則
單項式加減法法則
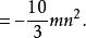
單項式加減法法則(2)
單項式加減法法則
單項式加減法法則
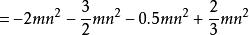
單項式加減法法則(3)
單項式加減法法則
單項式加減法法則
單項式加減法法則【例3】求單項式 的和。
單項式加減法法則解:
單項式加減法法則
單項式加減法法則
