概念
單值控制圖單值控制圖,顧名思義,就是標繪一段時間內單個觀測值的控制圖,把逐個測定值一個一個地在控制圖中打點,對過程實施質量控制。如果過程質量非常均勻連續取值時質量特性值沒有變化或數據的取得需要很常時間或取值費用昂貴或者對數據分組作 圖在時間上不適宜等情況下,這時可以採用單值(x)控制圖。單值控制圖使用情況為難以將觀測值進行分組。通常測量難度大或者測量費用較高,比如航天飛船零件的數據。因此,當不適合使用子組的形式來繪製控制圖時,就將子組容量設定為1,繪製單值控制圖 。
不適合使用子組形式的數據情況主要有以下幾種:①樣本數據之間的時間間隔很長:②樣本數據不易收集;③樣本輸入是連續且同質的 。
由於x圖是將逐個測定值立即在控制圖中打點,所以能夠迅速對生產過程進行了解並採取措施。但單值控制圖的檢出力較弱,同時當質量數據的分布偏離常態分配時,會使犯錯誤的機率顯著增大。
中心線與控制限
在一般生產過程穩定的時侯,採用單值控制圖最為方便,因為不要對數據加工,只要記錄就可以了。
單值控制圖
單值控制圖為了確定中心線和上下界限,可以抽取一批樣品(如15—20個),測量一下數據,算出子樣的平均值和估算出標準差,再按下列要求畫出中心線和上下控制線。
單值控制圖中心線=
單值控制圖控制上限
單值控制圖控制下限
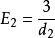
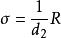
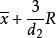
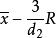
單值控制圖因為均方差可以從極差R值來估計(),所以上下控制界限的公式也可以寫成
單值控制圖
單值控制圖控制上限=,或
單值控制圖
單值控制圖控制下限=,或,
單值控制圖式中係數,它與計算R時所用的子樣大小n有苯,E與n的關係列於表1 。
| n | 2 | 3 | 4 | 5 | 6 | 7 | 8 | 9 | 10 | 11 | 12 | 13 | 14 | 15 |
| E | 2.659 | 1.772 | 1.457 | 1.289 | 1.183 | 1.109 | 1.053 | 1.010 | 0.974 | 0.945 | 0.920 | 0.899 | 0.880 | 0.864 |
繪製過程
單值控制圖比較簡單,具體繪製過程如下:
單值控制圖(1)收集觀測數據,並記錄為 ;
單值控制圖
單值控制圖(2)計算n個觀察數據的均值 和標準差 ;
單值控制圖
單值控制圖(3)計算上控制限 ,下控制限 ;
(4)繪製控制圖,並在控制圖中打點;
(5)根據控制圖判異準則,查找異常點 。
畫單值控制圖,必須從現場先得到一定數據。然後經過計算,再畫控制圖的界限。不能不管生產現場情況從公差線作些縮小,主觀地制訂控制界限。因為公差的界限所反映的只是設計要求,不是現場工程質量的正常波動範圍。它只能說明產品是否合格,而不能分析是否已有一定的點子連續出現在分布中心的一方,或者是否有其它不正常情況,所以這樣做是不合理的。
單值控制圖比較簡單,對日產量少、要求高的產品或零件來說是很有用的。它可以用來控制某個部分或整個零件及產品的幾個主要部分的質量。很多企業已在採用 。

