基本介紹
中位數-極差控制圖
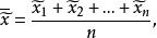
中位數-極差控制圖中位數-極差控制圖(median-range control chart)亦稱圖,是一種控制圖,用於同時判斷常態分配的均值和標準差這兩個參數是否保持在正常狀態下的一對控制圖,其中用於估計正態均值的統計量是樣本中位數,它依賴於樣本量n的奇偶性,即
圖1用於估計標準差的統計量是樣本極差
中位數-極差控制圖
中位數-極差控制圖這一對控制圖的使用最為簡單,計算量最少,適合於對樣本均值計算仍感不便的使用者,雖精度有所損失,但使用控制圖總比不使用有收穫, 在圖和R圖中,任一張圖出現異常現象時,都要及時查找原因,採取行動,使這種異常現象不再延續下去 。
計算控制界限
計算控制界限是為了顯示僅存在變差的普通原因時子組的均值和極差的變化和範圍,控制限是由子組的樣本以及反映在極差上的子組內的變差的量來決定的 。
1.計算中位數均值與極差均值
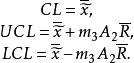
中位數-極差控制圖2.計算中位數的上、下控制限
中位數-極差控制圖
中位數-極差控制圖上式中,是隨樣本容量變化的係數,下表是樣本容量從2~10的係數值(表1)。
| n | 2 | 3 | 4 | 5 | 6 | 7 | 8 | 9 | 10 |
中位數-極差控制圖 | 1.88 | 1.19 | 0.80 | 0.69 | 0.55 | 0.51 | 0.43 | 0.41 | 0.36 |
3.計算極差的上、下控制限
中位數-極差控制圖上式中D、是隨樣本容量變化的常數,下表是樣本容量從2~10的係數值(表2)。
| n | 2 | 3 | 4 | 5 | 6 | 7 | 8 | 9 | 10 |
| D | 3.27 | 2.57 | 2.28 | 2.11 | 2.00 | 1.92 | 1.86 | 1.82 | 1.78 |
| D | * | * | * | * | * | 0.08 | 0.14 | 0.18 | 0.22 |
*對於樣本容量小於7時,沒有極差的控制下限 。

