簡介
發電機在啟動或停機過程中有勵磁電流流過勵磁繞組(因誤操作、機組低轉速下並列、盤車狀態利用勵磁繞組對轉子預熱),此時定子電壓的頻率很低,許多保護在低頻下不起作用,通常要裝設反應定子接地故障和相間故障、由電磁式繼電器構成的保護裝置,這種保護稱為啟停機保護或啟動保護,也稱為低頻運行保護。靠發電機出口開關合閘時的輔助接點自動投入。例如為發電機—變壓器組啟動和停機過程的保護可裝設相間短路保護和定子接地保護各一套,將整定值降低,只作低頻工況下的輔助保護,在正常工頻運行時應退出,以免發生誤動作。為此輔助保護的出口受斷路器的輔助觸點或低頻繼電器觸點控制。
保護方式
低頻過流保護
發電機差動保護在燃氣輪機啟動期間不僅方案複雜、實現困難,而且靈敏度也不如簡單的過流保護,因此,在啟動期間需要退出運行。考慮到燃氣輪發電機不僅啟動頻繁,而且啟動過程持續時間長,因此,有必要裝設專門針對啟動期間相間故障的低頻過流保護,並能在發電機併網後自動退出。在微機保護技術日益進步和廣泛套用的今天,對低頻過流保護的研究不可能仍然停留在單純的電流變換器或電磁型繼電器的選型設計方面,更多的工作需要考慮保護原理的程式實現和定值整定問題。
過激磁保護
啟停機保護啟動過程中,燃氣輪發電機轉速極低,勵磁調節器的性能不良或調節過慢極易導致發電機過激磁,須裝設過激磁保護。SIEMENS公司7UM62的過激磁保護在11Hz~69Hz頻率範圍內均能正常運行,而ABB公司REG316的過激磁保護能夠正確運行的頻率範圍為(0.5~1.2) 。但是,常規過激磁保護的程式實現均是以有效的電壓和頻率計算為前提,這對於處於啟動過程的燃氣輪發電機的過激磁保護來說,是一個嚴峻的挑戰。
靜止變頻器直流側接地保護
在燃氣輪發電機啟動期間,靜止變頻器直流側出現的接地故障極有可能導致發電機中性點接地變壓器損壞,因此,必須裝設針對靜止變頻器直流側接地故障的保護。當然,如果靜止變頻器本身已經具備直流側接地保護功能,如GE公司的靜止變頻器,此時發電機保護可不必重複配置。實現靜止變頻器直流側接地故障保護的關鍵在於設計可靠的直流電流測量迴路,這需要在發電機或接地變壓器的中性點側裝設專門的取樣電阻,如圖1所示。
圖1.靜止變頻器的直流母線接地保護取樣電阻的取值需考慮下列因素:
1)啟動期間,同時發生靜止變頻器直流側接地和定子繞組單相接地,取樣電阻兩端的電壓不應超過電壓變送器允許的水平。
2)正常運行時,發生定子繞組單相接地,取樣電阻兩端的電壓不應超過電壓變送器允許的水平。靜止變頻器直流側接地保護的動作方程為:
啟停機保護
啟停機保護式中: 為繼電器動作值。直流故障電流經採樣電阻轉換為電壓量,經濾波處理後輸入到一個典型的過量繼電器。當故障電流超過一定值時,過量繼電器動作,可將靜止變頻器整流橋置於逆變狀態,然後閉鎖換流器,直至跳開電源側斷路器。
保護定值的選取需要考慮接地變壓器實際允許的過載能力,計算公式為:
啟停機保護
啟停機保護
啟停機保護式中: 為接地變壓器的高壓側額定電流; 一 般取1.5。
定子接地保護
燃氣輪發電機啟動期間是否有必要裝設定子接地保護,需要根據燃氣輪機的啟動特性、發電機的定子繞組電容參數以及中性點接地方式來定。儘管現代燃氣輪發電機的啟動過程屬於典型的降壓和低頻運行工況,但仍有可能出現較大的單相接地故障電流。
定子接地保護的原理很多,究竟選用何種原理,則需要考慮燃氣輪發電機啟動過程的電氣特徵。20Hz電源注入式定子接地保護儘管靈敏度高,對於常規機組能夠全程投入,但是其動作性能對發電機的頻率偏移比較敏感,一般不推薦在10Hz~40Hz範圍內使用,而燃氣輪發電機的啟動過程大部分時間處於上述頻段內,因此,不適合作為啟動期間發電機定子繞組接地故障的保護。燃氣輪發電機在啟動期間,由於定子繞組始終帶電,發生定子接地時肯定存在零序電壓,可以選擇基波零序電壓保護作為啟動期間定子繞組單相接地故障的主保護。同時,由於在啟動期間燃氣輪發電機組的出口斷路器GCB打開,定子接地保護的靈敏度不必考慮外部系統單相接地故障的影響,保護定值可適當降低。
圖2.燃氣輪機電站的靜止變頻器配置方案存在問題分析
燃氣輪發電機廣泛採用靜止變頻器起動不僅因為變頻器自身的性能優良,還因為這種起動方式對電機的繞組結構沒有特殊要求,甚至同一電廠的多台機組可共用一台變頻器起動。但是,採用靜止變頻器起動也使燃氣輪發電機起動過程的電氣特性明顯區別於常規的水電和火電機組,主要表現在繞組電流的間斷特性、起動過程的低頻特性和嚴重的波形畸變特性。
繞組電流的間斷性
從功能上劃分,靜止變頻器可分為整流橋、逆變橋以及將二者連線在一起的直流平波電抗器三部分。除此以外,還有降低整流橋工作電壓的隔離變壓器和限制逆變器電流上升率的輸出電抗器。圖3給出了常見SFC的簡化原理圖。
圖3.靜態變頻器簡化系統圖根據發電機轉速的高低,SFC具有兩種運行模式:脈衝運行模式和自然換相模式,並能在起動過程中自動切換。由於除換相過程外,逆變器同時只能有兩個閥元件導通,因此燃氣輪發電機的定子繞組在起動過程中僅有兩相繞組存在電流流通,定子電流呈現明顯的間斷性。電流互感器的二次側輸出電流與靜止變頻器的運行模式有關。在脈衝運行階段,定子電流可認為是矩形直流,電流互感器僅在逆變橋強制換相期間才有電流輸出。而在自然換相階段,發電機的轉速已經足夠高,儘管定子電流仍存在間斷性,但電流互感器二次繞組的續流作用足以維持連續的電流輸出,此時我們可認為定子繞組的電流是存在嚴重畸變的正弦波。兩種運行模式的切換頻率與具體的工程條件有關,對國內使用的靜止變頻器來說,切換頻率一般不會超過5Hz。從保護的角度出發,起停機保護應能在頻率大於5Hz後正確運行。
起動過程的低頻特性
圖4是目前常見的燃氣輪機電站工程的起動特性,圖中Ne、Ie、Ue分別表示燃氣輪發電機的額定轉速、靜止變頻器輸出電流和電壓的額定值。其中,圖4(a)表示燃氣輪發電機的轉速隨時間的變化關係以及燃氣輪機所處的起動進程。可以看出,在整個起動期間,發電機的相對轉速均小於70%,因此燃氣輪發電機組的起停機保護必須具有明顯的低頻特性。圖4(c)表示發電機定子電壓隨時間變化的關係以及控制器在不同區段採用的控制策略。為了防止過激磁,在起動過程的初始階段,SFC採取恆壓頻比控制;隨著發電機轉速的上升,SFC由恆壓頻比控制逐步過渡到恆壓控制。從完善起停機保護的配置方案出發,必須考慮由於控制器失靈、回響速度過慢等原因所導致的過激磁事件的發生,因此起停機保護必須配置過激磁保護。
圖4.靜止變頻器的啟動特性相間故障分析
故障分析是繼電保護原理設計、定值計算和元器件選型的基礎,起停機保護必須考慮起動期間相間故障的具體特點才能保證正常運行和可靠動作。
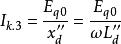
啟停機保護假設發電機採用次暫態電抗後的電動勢模型,發電機以額定電壓和額定頻率空載運行時發生機端三相短路,此式三相短路電流 的計算公式為:
啟停機保護
啟停機保護
啟停機保護
啟停機保護其中, 為發電機的空載電勢; 為發電機的直軸次暫態電抗; 為與對應的電感參數,一般可認為是恆值。
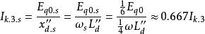
現代大型燃氣輪發電機常採用降壓起動方式。實際工程中,對發電機額定電壓為18kV及以上的情況,靜止變頻器的輸出電壓約為發電機額定電壓的1/6。考慮到燃氣輪發電機在起動過程中,起動、清洗、暖機等過程時間較長,約10分鐘;頻率較低,約為額定頻率的1/4,因此可選擇此時為典型工況。當起動期間出現機端三相短路時,燃氣輪發電機組的短路電流為:
啟停機保護
啟停機保護
啟停機保護
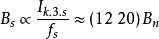
啟停機保護上式中,、添加下標s表示起動期間相應的電氣參數。可以看出,燃氣輪發電機起動過程中的故障不會比正常運行時的同類故障更嚴重。考慮到大型燃氣輪發電機直軸次暫態電抗的標麼值一般都在(2.0~15.0)之間,因此起動過程中的最大三相短路電流約為其額定電流的(3~5)倍。保護裝置內部的電流變換器對裝置的性能有重要影響,其傳變特性依賴於鐵心的磁感應強度。當互感器二次負載一定時,起動期間電流變換器鐵心的磁感應強度與電流的幅值-頻率之比成正比,即有:
啟停機保護
啟停機保護其中,為電流變換器額定工況下的磁感應強度。因此,按照40倍過載能力選型的電流變換器在燃氣輪發電機起動期間一般不會出現鐵心飽和現象。

