特點
(1)獨立性。由於商譽與企業的整體有關,不能單獨存在,不能與企業其它的有形資產和無形資產分離開,不能單獨出售,因而商譽的評估這一行為必須與企業其它的整體資產的評估聯繫起來進行。商譽評估結果也應一併匯入企業整體評估結果中去,形成企業整體資產總額中的一個部分。
(2)不可分列性。影響企業商譽的因素多種多樣,難以用某種公式或方法對其形成的各項影響因素分別單獨確定其價值,只能把這些因素結合起來,作為依附於企業整體的一項無形的綜合經濟資源來看待,只能按照一個總額對商譽計價,不能按照形成商譽的每個因素分別估列數值。
(3)整體性。依據商譽的非獨立性。由於商譽是一種不可確指的無形資產,因而它不能單獨存在,只能依附於企業整體,是所有有形資產共同作用的結果。離開了企業,商譽的載體就消失了,也就不存在商譽的價值。因此,商譽是企業整體價值中一個無形的構成要素。評估它的價值要從企業整體獲利能力上把握,並且只有在繼續經營的條件下,企業的商譽才是有價值的。
(4)分析性。商譽評估的分析性是依據商譽構成要素的多元性。形成商譽的因素很多,難以用任何方法或公式對其形成的各項個別因素單獨確定其價值,只能把這些因素綜合起來,作為依附於企業整體的一項無形的綜合經濟資源來看待,所以,商譽評估的結果也是按照一個總額對其計價,不能按照形成商譽的每個因素單列評估值。
(5)評估基礎的單一性。這一特性是由商譽的實質決定的。由於商譽形成的不可確指性,商譽存在判斷標準的唯一性以及商譽的評估結果是對企業未來超額收益的按現時價格的反映,商譽評估的基礎只能是企業超額效益。
(6)評估結果的雙重性。商譽的價值是由企業整體收益水平體現的。其價值量大小取決於企業整體收益水平和行業平均收益水平的比較,當企業的收益水平高於行業平均水平時,商譽的價值為正值,反之,則為負值。由於商譽具有正負性,因此,它的評估對企業獲利能力也具有積極或消極影響。商譽的評估值,既可能使企業資產出現增值,也可能使其出現貶值。
意義
(1)提供產權交易依據,推進企業產權產易順利進行
我國經濟體制改革的最終目標是建立社會主義市場經濟體制,這一目標的實現有賴於企業真正成為自主經營、自負盈虧、自我發展的經濟實體。當前,企業改革的一項重要內容就是企業的產權改造及產權關係調整,而要做好這一工作,就必須首先搞好企業的資產評估,這更離不開對包括商譽在內的無形資產的評估確認。只有通過包括商譽在內的企業資產評估,才能合理、完整地確定企業資產價格,為產權交易提供科學的依據,使產權交易得以健康、有序地進行。
(2)維護和協調資產所有者、經營者雙方權益
在我國的企業改革中伴生著各種各樣的產權交易形式,過去由於人們缺乏對企業商譽的正確認識評價,對企業在同行業中的地位、企業內部職工隊伍、技術狀況、組織協調等缺乏科學判斷,產權交易行為在利益機制推動下出現了各種不良趨向,如想方設法壓低承包基數、壓低資產租金和拍賣價格以及合資入股的國有資產作價等,通過包括商譽評估在內的企業資產評估,可以兼顧資產交易雙方的利益,公平、公正地確定投資各方的投資份額,使其合理分享企業的經營成果,進而起到約束經營者行為和維護所有者權益的作用。
(3)貫徹對外合作、平等互利原則,維護國家的合法權益
我國改革開放以來,大量外商湧入國內投資興辦各類企業,中外合資、合作企業不斷增多,這無疑促進了我國外向型經濟的發展。但由於資產評估工作的滯後,與外商合作時國內企業往往低估自己的價值,造成國有資產流失。這不僅表現在有形資產作價不公允上,而且很大程度表現在忽視無形資產特別是商譽的評估上。因此,有必要在發展中外合資、合作企業的同時,注重雙方包括商譽在內的資產評估,公允地體現雙方的資產價值,以維護雙方的合法權益。
評估方法
當前,商譽的評估方法主要有以下兩種:
(一)割差法。
割差法是用企業的總體價值扣除各項有形資產和可辨認的無形資產價值後的差額,以之來確定企業商譽價值的一種評估方法。
只有當企業的總體價值扣除各項有形資產和可確指的無形資產後還有剩餘時,才存在企業的商譽價值,這裡有兩個前提條件:①必須首先知道確定企業總價值。②對企業有形資產以及可確指的無形資產數量和現行估算均具有準確性。這種情況下可用割差法來計算該商譽的價值。主要步驟是:
(1)通過整體評估的方法評估出企業整體資產的價值;
(2)通過單項評估的方法分別評估出各類有形資產的價值和各項可確指的無形資產的價值;
(3)在企業整體資產評估價值中扣減掉各單項有形資產及單項可確指的無形資產的價值之和,其剩餘即是企業商譽的評估值。
(二)超額收益法。
超額收益法是以改組企業的超額收益為基礎,以之評估企業商譽的方法。
這種方法的基本思路是直接用企業超過行業平均收益來對商譽進行估算,理論依據是商譽的定義。根據企業獲得超額收益的年限不同,這種方法一般可進而分作兩種方法:
1.超額收益資本化法。在對經營狀況好,收入穩定的永續性企業商譽進行評估時,可採用此方法。步驟是:
①分別評估出企業各單項有形資產與單項可指無形資產的價值,並求出它們的加總值;
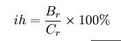
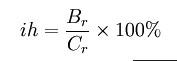
②合理確定行業平均收益率ih;
商譽評估其中:Br為各企業所得稅後淨收益之和 Cr為各企業資產總額之和
③將企業單項資產加總值與行業平均收益率相乘,求出按行業平均的收益水平計算的企業各單項資產之和可取得的收益;
④詳細預測企業未來的年平均收益值;
⑤用企業未來收益值扣減各單項資產按行業平均水平取得的收益值,從而得到企業的年超收益值;
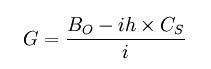
⑥選擇適當的本金化率將企業的年超額收益值本金化處理,得出商譽評估值。具體公式如下:
商譽評估G:企業商譽評估值
Bo:企業年預期收益
ih:行業平均收益率
Cs:各單項資產評估值加總
i:本金化率
2.超額收益折現法。當企業的超額收益只能維持有限年度時,應運用此方法來評估商譽價值,其主要步驟如下:
①合理確定商譽的剩餘經濟壽命;
②詳細預測企業在剩餘期內年度收益以及按行業平均收益率和企業各項資產評估總值相乘得出的收益額,差額即為企業每年預期超額收益;
③測定合理折現率,企業剩餘經濟壽命期間預期超額收益的折現額之和,便是企業的商譽評估值。用公式表示是:
商譽評估G:企業商譽評估值
i:折現率
Bt:第t年企業預期超額收益
n:企業預期具有超額收益的年限
界定商譽
按我國的現實條件,企業在進行具體的商譽評估時,可按以下兩種情況界定商譽:
(1)直接定義商譽代表企業無形資產的整體價值。這種定義往往對應以下三種情況:第一,經判別分析,在企業中不存在特別突出的單項無形資產。第二,雖然企業中有較好的技術及其他可確指的無形資產的類型,但無法區分開。第三,從委託人的要求來看,沒有特別的必要對企業各種單項無形資產加以區分。筆者認為有90%企業的商譽屬於這一種。
(2)定義的商譽不含技術和馳名商標等無形資產。這一定義往往對應於擁有突出技術和馳名商標的企業,企業有必要也有可能把其技術和商標等可確指的無形資產的單項價值分別測算出來。這種情況下,商譽價值就是扣除技術與商標等可確指的無形資產價值後的余值。
評估時,如果企業並不強調區分各種不同類型的可確指無形資產,我們不主張將可確指的無形資產做單項的評估,因為各類無形資產收益界線的模糊會導致單項價值的失真。這種結果常常會引起企業投資或轉讓過程中的爭執,最終影響交易過程的順利進行。
資料清單
1、 評估清查明細表
2、 評估基準日前三至五年的資產負債表、損益表
3、 總賬、明細賬、會計憑證
4、 企業市場占有率,行業平均收益水平、發展趨勢
5、 產品和技術的更新、替代以及競爭者的情況
6、 其他與整體評估相同的資料
7、 業務約定書
8、 向上級單位或股東會報告評估經濟行為的申請
9、 上級單位或股東會同意評估經濟行為的批准檔案
10、 委託方與資產占有方營業執照副本複印件
11、 委託方與資產占有方承諾函
12、 設立、變更驗資報告
13、 公司章程、協定
14、 股東會、董事會重大決議等檔案
15、 上級(國家)有關管理部門的評估立項的批覆
16、 與評估經濟行為有關的契約、協定複印件商

