基本介紹
下面討論方陣A的特徵多項式的一個重要性質——Hamilton-Cayley定理,為證明此定理,先作以下準備:
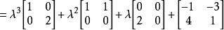
以F[λ]中的多項式為元素的矩陣稱為λ-矩陣,記為A(λ),B(λ),...,例如
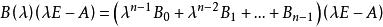
哈密頓一凱萊定理是一個λ-矩陣,按照矩陣加法,數量乘法的定義,A(λ)可以寫成
哈密頓一凱萊定理
哈密頓一凱萊定理其中λ 的係數都是F上的矩陣,顯然這種表示法是惟一的。一般地,一個m×n的λ-矩陣A(λ)可以惟一表示成多項式:
哈密頓一凱萊定理A(λ)=λA+λA+...+λA+A
其中
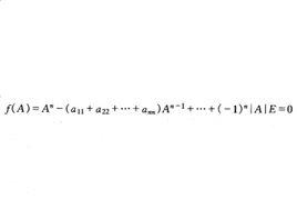
定理1(Hamilton-Cayley定理)設A是數域F上的n階矩陣,f(λ)=|λE-A|是A的特徵多項式,則
哈密頓一凱萊定理哈密頓-凱萊定理的證明
證明設B(λ)是矩陣λE-A的伴隨矩陣,則:
B(λ)(λE-A)=|λE-A|E=f(λ)E. (2)
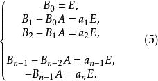
因為B(λ)的元素是|λE-A|的元素的代數餘子式,所以B(λ)的元素是次數不超過n-1的λ的多項式,因此B(λ)可寫成:
哈密頓一凱萊定理因而
哈密頓一凱萊定理
哈密頓一凱萊定理
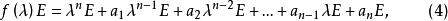
哈密頓一凱萊定理由A的特徵多項式f(λ)是n次的,可設
哈密頓一凱萊定理則
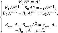
哈密頓一凱萊定理由(2)式,比較(3),(4)兩式得
哈密頓一凱萊定理
哈密頓一凱萊定理依次用右乘(5)的第1,2,...,n+1式,得
哈密頓一凱萊定理上式兩端分別相加,左邊為0,右邊為f(A),故f(A)=0,定理得證。
用線性變換的語言敘述Hamilton-Cayley定理:
定理2設σ是n維線性空間V的線性變換,f(λ)是σ的特徵多項式,那么f(σ)=0。
下面利用Hamilton-Cayley定理將線性空間按特徵值分解成不變子空間的直和。
定理3設V是數域F上的n維線性空間,V的線性變換σ的特徵多項式是f(λ),它可以分解成
哈密頓一凱萊定理
哈密頓一凱萊定理這裡,當時,則V可分解成σ子空同的直和
哈密頓一凱萊定理
哈密頓一凱萊定理其中。

