簡介
可重整理論( Renormalization theory)是量子場論、場的統計力學和自相似幾何結構中解決計算過程中出現無窮大的一系列方法。
在量子場論發展的早期,人們發現許多圈圖(即微擾展開的高階項)的計算結果含有發散(即無窮大)項。重整化是解決這個困難的一個方案。一個理論如果只有有限種發散項,則可以在拉氏量中引進有限數目的項來抵消這些無窮大項,這種情形被稱為可重整。反之,如果理論中有無限種發散項,則稱為不可重整。
可重整化曾被認為一個場論所必需滿足的自洽性要求。它在量子電動力學和量子規範場論的發展過程中起過重要的作用。粒子物理的標準模型也是可重整的。
現代場論的觀點認為所有理論都只是有效理論,它們都有它們的適用範圍。除了所謂的終極理論,所有理論在原則上都是不可重整的。在這種觀點下,可重整理論只是聯繫不同能標下理論的一種方法。
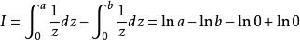
可重整理論例如: 的後兩項發散。
可重整理論
可重整理論
可重整理論為了消除發散,把積分下限分別改為無窮小的 和 ,這樣積分就變成了
可重整理論
可重整理論如果能保證 那么就可以得到
有效理論
有效理論是指一個科學理論,它試著去描述一些現象,然而並未解釋其理論中的解釋現象機制是由何而來。 這意味著這個理論給出了“有效”的模型,但並未真正給出一個真正充分的理由去給出這個模型。
因此,我們可以說有效場論就是一種有效理論,它用於描述固態物理中的現象,例如:BCS理論。 有效場論會將固態晶格的振動視作一種場(這代表它不是一個“真正”的場),稱為聲子。 這類有效場論所描述的有效粒子一般稱作準粒子。
某個層面來說,量子場論以及任何現行的物理理論都屬由有效理論。它們都是目前仍未知的萬有理論在“低能量極限”下的“有效”描述。
萬有理論
萬有理論(英語: Theory of Everything或 ToE)指的是假定存在的一種具有總括性、一致性的物理理論框架,能夠解釋宇宙的所有物理奧秘。經過幾個世紀奮勉不懈的努力,發展出兩種理論框架:廣義相對論與量子場論。它們的總合,可以說是最接近想像中的萬有理論。廣義相對論專注於研究引力來明白宇宙的大尺度與高質量現象,例如恆星、星系、星系團等等。量子場論專注於研究非引力來明白宇宙的小尺度與低質量現象,例如,亞原子粒子、原子、分子等等。量子場論成功地給出標準模型,並且能夠按照大統一理論將弱力、強力與電磁力這三種非引力統合在一起。
經過多年的研究,這兩種理論分別在適用範圍內做出的預測幾乎都已被實驗肯定。根據物理學家的研究結果,廣義相對論與量子場論互不相容,即對於某些狀況,兩者不可能同時是正確的。由於這兩種理論的適用範圍不同,對於大多數狀況,只需用到其中一種理論。這兩種理論的不相容之處在非常小尺度與高質量範圍才成為顯著的問題,例如,在黑洞內部、在宇宙大爆炸之後的極短時間。為了解釋這衝突,透露更深層實在、將引力與其它三種作用力統合在一起的理論框架必需被找出,和諧地將廣義相對論與量子場論整合在一起,原則而言,成為能夠描述所有物理現象的單一理論。近期,在追逐這艱難目標的過程中,量子引力已成為積極研究領域。
萬有理論用來指那些試圖統合自然界四種基本相互作用:引力相互作用、強相互作用、弱相互作用和電磁相互作用成為一體的理論,是在電磁作用和弱相互作用連成一體的電弱作用理論之後,再加入強相互作用連成一體的大統一理論基礎之後,又加上引力作用連成一體的理論。目前被認為最有可能成功的萬有理論是弦理論和圈量子引力論。
現代物理
常見理論系列
萬有理論試圖統合大自然的所有基本相互作用:引力、強作用力、弱作用力、電磁力。由於弱相互作用能夠將基本粒子從某一種變換成另一種,萬有理論應該也會對於各種可能粒子給出深奧的了解。以下給出通常假定的理論路徑,每一次的統合步驟會導致更上一層樓級。
至今為止,已有幾種大統一理論被提議來統合電磁力與核力。大統一意味著電核力的存在,猜想應會發生於大約10GeV,遠超過任何地球粒子加速器所能達到的能量。雖然,最簡單的大統一理論已被實驗結果排除,它的整體概念,特別是當與超對稱連結在一起時,仍舊是理論物理學術界的喜好。超對稱大統一理論似乎很有道理,這不僅是因為它們在理論方面的美感,而且因為它們自然地製備出大量暗物質,還因為宇宙暴脹可能與大統一物理有關(雖然宇宙暴漲並不是大統一理論的必然結果)。但是,大統一理論明顯地不是終極答案;當今標準模型與所有提議的大統一理論都是量子場論,需要使用可能隱藏瑕疵的重整化方法來獲得有意義的答案。物理學者通常將這需求視為它們只是有效場論的標誌,它們遺漏了在非常高能量時才會出現的關鍵現象。
量子引力步驟涉及到解決量子力學與廣義相對論之間的分歧。至今為止,尚未出現任何可以廣被接受的量子引力理論,因此也尚未出現任何可以廣被接受的萬有理論。
萬有理論也或許可以解釋現代宇宙學提出的兩種候選論題:宇宙暴脹與暗能量。但是,這些論題尚未能用實驗嚴格證實。更加地,宇宙學實驗建議暗物質存在,而且是由標準模型以外的基本粒子組成。
弦理論與M理論
弦理論或許有可能成為宇宙的最終理論。很多物理學者認為,在宇宙初始時期(大爆炸之後10秒內),四種基本力都曾屬同一種基本力。與大多數其它理論不同,弦理論可能正在合併這四種基本力的過程。根據弦理論,宇宙的每一個粒子,在它的最微觀層級(普朗克尺度),是由各種呈不同方式振動中的弦組成。弦理論聲稱,這些獨特振動方式的弦形成了獨特質量與力荷的粒子,例如,電子是以某種方式振動的弦,上夸克是以另一種方式振動的弦。
弦理論有一個很令人驚訝的性質,即它需要額外維來達成一致性。在這方面,弦理論可以被視為建構在對於卡魯扎-克萊因理論的深刻了解之上。卡魯扎-克萊因理論將廣義相對論推廣至五維宇宙(其中有一維很微小,並且蜷作一團);從四維觀點來看,就好像廣義相對論與麥克斯韋的電動力學在一起。這使得統合規範與引力的相互作用的點子更具有信服力,也使得額外維的概念更具有信服力,但是它並沒有對於詳細實驗要求做任何處理。弦理論還有一個重要性質,即它具有超對稱性,這性質與額外維是解決標準模型的等級差問題的兩個主要提議,等級差問題提出疑問,為什麼引力比其他種作用力更為微弱的很多?額外維解答涉及允許引力傳播至其它維度,而又限制其他種作用力於四維時空;使用明確的弦機制,這點子已被實現。
弦理論的研究因在各種理論與實驗方面獲得的成果而得到很多鼓勵。在實驗方面,標準模型的粒子內涵,經過補充了中微子質量的理論,恰巧能夠用SO(10)的旋量來表現,這是E8的子群,慣常地會出現於弦理論,例如雜交弦理論或(有時等價的)F-理論。弦理論可以解釋為什麼費米子會有三世代,也可以解釋幾個夸克世代之間的混合率。在理論方面,弦理論已開始處理量子引力的某些關鍵問題,例如,解決黑洞信息佯謬、數算正確的黑洞熵。
1990年代後期,物理學者注意到,在這方面的努力有一個重大障礙,即有非常多可能的四維宇宙。額外維有很微小,並且蜷作一團,可以被緊緻化的方式有很多種(有一個估計得到10種方式),每一種會對粒子或作用力給出不同的性質。這一系列模型知名為弦理論園景。
有些學者主張,這些理論可能方式都會被付諸實現於大量個宇宙,但是只有少數幾個宇宙能夠適合智慧生命,因此宇宙的基本常數其實應是人擇原理的後果,而不是從理論推導出的數值。這種論述引起很多學者的批評;他們認為,弦理論無法給出有用的(原創的、可證偽的、可檢證的)預測,應該被視為一種偽科學。但也有些學者對於這批評表示不認同。儘管如此,在理論物理學裡,弦理論仍舊是非常熱門的研究論題。
自從1990年代以來,很多物理學者主張,11維M理論就是萬有理論。五種不同的超弦理論描述它的不同極限。最大超對稱11維超引力描述它的另外極限。但是,對於這論點,並沒有在學術界得到廣泛共識。
圈量子引力論
圈量子引力論將廣義相對論關於時空的概念引入量子場論,因此,它能夠精緻地用數學表述出量子時空,並且對於實際物理問題,例如,黑洞熱力學、大爆炸的奇點物理等等給出解答。
圈量子引力論預測,在普朗克尺度,空間呈顆粒結構。對於電磁場案例,代表電磁頻率的算符具有離散線譜,因此每個頻率的能量被量子化,其量子是光子。對於引力場案例,代表微觀空間區域體積的算符具有離散線譜,因此每個微觀空間區域的體積都被量子化,其量子是基本空間顆粒,稱為“節點”。在空間顆粒與空間顆粒之間的隔離表面也具有量子性質,會被量子化成為“連結”。這些節點與連結形成了自旋網路。在普朗克尺度,由於空間的顆粒結構性質,量子場論的紫外線無窮大能量被截止,因此擺脫了在量子場論里時常會碰到的無窮大困擾。
按照圈量子引力論,時空是一系列隨著時間流易而改變的空間,每一個節點形成一條“邊線”,每個連結形成一個“界面”,這時空的歷史可以用自旋網路來描述,稱為自旋泡沫,是由很多邊線與界面所組成。自旋泡沫表現出時空的歷史。
有些學者聲稱,圈量子引力或許可以複製一些貌似標準模型的特性。至今為止,只有第一代費米子能夠被建模,李·斯莫林研究團隊用類似自旋泡沫的時空穗帶為砌塊組成先子來完成這模型。可是,它們並沒有給出拉格朗日量來描述這些粒子的相互作用,也尚未證明出這些粒子是費米子,更還未實現標準模型的規範群或相互作用。這模型詮釋電荷與色荷為拓撲量;電荷是單獨線帶所載有的扭曲的數量與手性,色荷是這種扭曲的變版。斯莫林的原創論文建議,更高代費米子可以被更複雜的穗帶,但他們並沒有給出明確建模方法。
近期發展
目前,尚未有任何包括標準模型與廣義相對論的候選萬有理論。例如,沒有候選理論能夠給出精細結構常數或電子質量。粒子物理學者期望,正在進行的實驗,例如,探索新粒子與暗物質,所得到的結果能夠對萬有理論給出更多新點子。
相關條目
•正規化
•量子場論

