系統結構
1個模糊系統總是一個可加性的系統,構造一個具有m條模糊規則的模糊系統,如圖1所示。
圖1 可加性模糊系統結構
可加性模糊系統
可加性模糊系統
可加性模糊系統
可加性模糊系統在圖1中, 為輸入的 個模糊集合, 為輸出的 個模糊集合。
SAM (標準可加性模型)模糊系統結構如圖1所示。
圖2標準可加性模糊系統結構
可加性模糊系統
可加性模糊系統
可加性模糊系統
可加性模糊系統
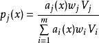
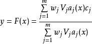
可加性模糊系統輸入量 以一定程度激活規則,模糊規則被激活程度為 ,其中大多數被激活程度為 0。系統計算條件期望值 ,作為局部中心,相關乘積推理給每一個“則”部分集合 的比例,並使被激活的“則”部分增加,形成了系統輸出模糊集 B,基於相關乘積推理的中心非模糊化給出輸出值 :
可加性模糊系統
可加性模糊系統
可加性模糊系統
可加性模糊系統
可加性模糊系統
可加性模糊系統
可加性模糊系統
可加性模糊系統
可加性模糊系統
可加性模糊系統
可加性模糊系統
可加性模糊系統
可加性模糊系統
可加性模糊系統
可加性模糊系統
可加性模糊系統
可加性模糊系統
可加性模糊系統
可加性模糊系統
可加性模糊系統
可加性模糊系統其中, 為第 個“則”部分集合的體積; 為第 個規則的權重, 為第 個輸出集合的中心, 確定“則”部分集合 的激活程度等級, 為“則”部分模糊集合數目。 套用時可以假定集合 是相互聯接的,規則“如果 ,則 ”變為“如果 , 則 ”且“如果 , 則 ”, 這裡的 和 為集合 中兩個不相交的元素。 此時, 標準的可加性模型產生的 為局部中心的凸和:
可加性模糊系統凸係數為:
可加性模糊系統模糊逼近定理
可加性模糊系統
可加性模糊系統
可加性模糊系統
可加性模糊系統如果 是緊的且 連續 則可加性模糊系統 一致地逼近 。在實際物理空間中的參數集合總是有界的,對於任意模糊集,可加性模糊系統能夠以任意精確度逼近任何連續函式,就像有理數在實數中稠密一樣,可加性模糊系統之集在緊域的連續函式空間中也是稠密的,定理對於所有形狀的模糊集都成立。
套用示例
在這裡,以SAM 系統的負荷時間序列預測為例。
電力系統短期負荷預測是一個時間序列預測問題,其特點是電力負荷特性比較複雜。考慮到短期負荷受到日類型、氣象狀況等因素影響,預測因子應由歷史負荷數據、日類型和天氣狀況數據組成。日類型包含有工作日、星期日和節假日,具有不同的負荷特性。在相同的日類型條件下,天氣狀況也對負荷特性產生影響,這裡的天氣狀況數據主要是指日最高溫度和最低溫度。負荷實時信息可從 SCADA系統獲得,氣象信息可通過遠程撥接方式從氣象台獲得。
負荷預測步驟如下:
可加性模糊系統(1) 根據負荷預測因子生成集合函式 ;
可加性模糊系統(2) 由 K-均值算法的聚類方法生成聚類中心(形心) ;
可加性模糊系統
可加性模糊系統
可加性模糊系統(3) 初始化權重 和體積 , 設定精度 。
(4)求 SAM 系統的輸出;
可加性模糊系統
可加性模糊系統
可加性模糊系統(5) 由有監督學習體系, 根據輸出誤差修改 、 和 ,直至輸出滿足精度要求。
