概述
反應堆堆芯是核電站熱能釋放的心臟,而電站反應堆熱工水力設計的總目標是提供與堆芯熱源分布相一致的傳熱,堆芯模擬和模擬堆芯設計成為反應堆水力模擬實驗研究的關鍵技術。在按一定比例縮小的反應堆模型上進行的反應堆水力模擬實驗研究是反應堆結構定型的重大項目,只有當模擬堆芯內流體流動正確模擬了原型時,反應堆水力模擬實驗所獲得的大量數據才能套用於原型設計。
現代壓水堆廣泛採用開式柵格堆芯,燃料組件為開式結構,取消了盒壁,而由控制棒導向管、定位格架及上下管座構成組件支撐骨架。反應堆堆芯內的流體流動為複雜的三維流動,冷卻劑不僅在同一燃料組件內各子通道之間,同樣在各相鄰燃料紐件之間發生流動交混,改善了堆芯內的流量分配和傳熱,有利於堆芯功率水平的提高。其堆芯水力模擬因為必須考慮三維流動,不僅要模擬軸向流動,還要模擬複雜的橫流效應而使難度大為增加。
壓水堆水力模擬實驗研究通常採用燃料組件一一對應的堆芯模擬方式,水力模擬堆芯內燃料組件的個數、排列方式與原型相同,使堆芯流量分配實驗數據有一一對應關係。
模擬理論和方法
Yankec電站水力模型
在元件盒壁8個標高上開孔,每個標高處開兩個1/8英寸孔,模擬原型的側向流通面積與軸向流通面積之比。
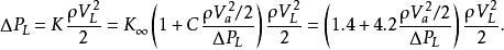
在六個幾何結構試驗件進行的試驗基礎上,採用集總阻力方法,假設一個棒束阻力可以處理成各子通道阻力之和,提出了模擬燃料組件和原型橫流相似準則:
反應堆仿真器San-Onofre電站水力模型
模擬燃料組件採用中空方形盒,用裝在流道中的一系列金屬網和孔板模擬縱向流動阻力,組件入口安裝一個測量組件流量的附加孔板。橫流阻力用盒壁上開的一系列孔來模擬,開孔面積按照模擬燃料組件和原型在各自軸向流速下橫流壓降相等的原則確定。
反應堆仿真器模型和原型尺寸比例為,堆芯組件總數為157。在試驗研究基礎上,模型設計採用以下橫流阻力關係式:
反應堆仿真器秦山一期300MWe反應堆模型
保證模擬堆芯燃料組件出口結構和原型相似,用外方內圓的管子代替原型方形排列的棒束,流道內裝一系列孔板模擬軸向阻力,沒有模擬堆芯內的橫向流動。試驗結果的處理,將總阻力係數降低3%,以此來考慮橫流對軸向壓降的影響。
以上模擬方法分別處理了軸向壓降和橫向流動,沒有考慮軸向壓降和橫流之間強烈的相互影響關係;同時,沒有將橫流的重要影響引入到建立堆芯模擬準則中,沒有建立完整的堆芯模擬準則和系統的模擬堆芯設計方法。

