定義
未知數含有反三角函式符號的方程,我們叫做反三角方程。例如2arcsin x=arcsin 10x/13,(arccos x)²-6arccos x+8=0等都是反三角方程。
最簡的反三角方程
最簡的反三角方程如arc sin x=θ,arc cos x=θ,arc tg x=θ,arc ctg x=θ。
解反三角方程的目的是要求出未知數,使得它能滿足方程所給出的反函式值。
上面四個反三角函式,它們的取值範圍為-π/2≤arc sin x≤π/2,0≤arc cos x≤π,-π/2﹤arc tg x﹤π/2,0﹤arc ctg x﹤π。
所以,反三角方程不一定有解 。
其他反三角方程
解反三角方程的根本方法是把方程兩邊同取某一三角函式的三角運算,使它轉化為代數方程,按代數方程的解法來解。但是應該指出,兩邊取三角運算所得的方程與原方程不一定是同解方程,會有增根產生的可能性,必須進行根的檢驗,去偽存真 。
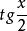
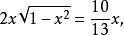
例 解方程
反三角方程解 在原方程兩邊取正弦得
反三角方程即
反三角方程
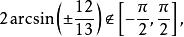
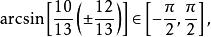
反三角方程解之, 得
反三角方程經檢驗 x=0是原方程的根。
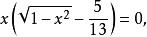
因為
反三角方程而
反三角方程所以 x,x都是增根 。
解三角方程與反三角方程的技能
解三角方程與反三角方程的技能指以最簡三角方程的通解為基礎,利用解代數方程的知識:三角式的恆等變形和換元法等,求得三角方程和反三角方程解集的技能 。
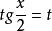
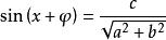
反三角方程
反三角方程
反三角方程
反三角方程
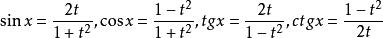
反三角方程解三角方程與反三角方程技能訓練的基本要求是:①熟練掌握最簡三角方程的通解。②善於觀察所給方程的特點,熟練把握恰當的解題思路。如果一個三角方程可化為只含有一個未知數的同一個三角函式的方程,則用換元法轉化為解代數方程,求得這個三角函式的值,再解所得最簡三角方程。如果一個三角方程可化為兩個同名函式相等的形式,則利用相等的充要條件來解。sinf(x)= sing(x)的充要條件為f(x)=nx+(-1) g(x),cosf(x)= cosg(x)的充要條件為f(x)=2nπ±g(x),tgf(x)= tgg(x)的充要條件為f(x)=nπ+g(x)(以上n為整數)。如果一個三角方程可化為一邊是零,另一邊可分解因式,則轉化為幾個較簡單的三角方程來解,但要知道,使某一個因式為零的值,必須使其它幾個因式均有意義,否則即為增根,要捨去。③掌握關於sinx和cosx的齊次方程求解的一般步驟;先化為只有tgx的方程,用代數方法求出tgx的值,再求x。如果一個三角方程中常數項不為零,而其它項關於sinx與cosx是齊次的,常可能過1= sin²x+cos²x的代換,把該方程化為齊次方程。④掌握形如asinx +bcosx=c(a≠0,b≠0)的方程的解法:一般引入輔助角,將原方程變形為, (其中φ是已知數,由確定)來解。這樣得到的新方程與原方程是同解的。⑤掌握形如f(sinx,cosx,tgx,ctgx)=0的方程(左端是sinx ,cosx,tgx,ctgx的有理式,某些三角函式也可以不出現)的解法:可以用“萬能代換”來解。即令,於是,原方程化內t的有理方程F(t)=0,用代數法解出t,再得x。需要知道的是,代換後的新方程要求有意義,即x≠(2k+1)π(k為整數),而原方程中如果ctgx不出現,這些值也有可能是原方程的解。因此,利用萬能代換解三角方程時,必須檢查(2k+1)π是否是原方程的解,防止失根 。
應當注意的是:①解三角方程時,由於方程變形可能破壞同解性,進行三角變換可擴大或縮小定義域,常會發生增根、失根;又會因解法不同或選用的輔助函式不同使增根、失根出現不同的情況,因此必須儘可能避免增根、失根,當無法避免時,要剔除增根,找回失根。由於三角方程的解集一般是無限集較好的方法是利用方程的周期(把周期函式f(x)的周期也叫做方程f(x)=0的周期)來驗根,只需先求出方程的周期,在一個周期內進行驗根,即可得出一般結論。凡原方程中有tgx,secx等函式時,應注意有沒有增根x=kπ+π/2;有ctgx,cscx等函式時應注意有沒有增根x=kx。原方程中不含這類函式,而變形後的方程卻有這類函式時,要注意檢查這些值是不是原方程的根,防止失根。②三角方程的解集一般是無限集,而三角函式是周期函式,可解集可用通解公式表示。但常因在解的過程中所用公式不同,或選取的特殊角的代表值不同,而使得同一個三角方程的通解公式會有不同的形式。如果已經剔除增根,找出失根,那么不同形式的解集應相等。檢查這一點,通常可以在三角方程的一個周期內把不同形式的解所表示的角的終邊位置進行比較。
對於僅在反三角函式符號後面含有未知數的反三角方程,一般將其兩端施以同一個三角運算,得到一個代數方程,然後求解。在此解法過程中,往往會破壞同解性。如反三角方程f(x)=g(x)與方程sinf(x) = sing(x)及方程cosf(x) = cosg(x)都不同解,但都只有增根的可能,不會失根,而反三角方程f(x)=g(x)與方程tgf(x)=tgg(x)也不同解,既可能有增根,又可能失根。所以應根據方程特點進行檢查 。

