r=εb/εt
板料r值的大小,反映板平面方向與厚度方向應變能力的差異。r=1時,為各向同性;r≠1時,為各向異性。當r>1,說明板平面方向較厚度方向更容易變形,或者說板料不易變薄。r值與板料中晶粒的擇優取向有關,本質上是屬於板料各向異性的一個量度。
r值與衝壓成形性能有密切的關係,尤其是與拉深成形性能直接相關。板料的r值大,拉深成形時,有利於凸緣的切向收縮變形和提高拉深件底部的承載能力。圖1示出拉深時的應力狀態,對照各向異性板料的屈服橢圓(圖2)知;拉深件凸緣的應力狀態類似於屈服橢圓第二象限區的情況,而底部的應力狀態則類似於第一象限區的情況。r值增加,會同時使底部的強度增加和凸緣的變形抗力減小,這對拉深是非常有利的。大型覆蓋件成形,基本上是一咱拉深與脹形相結合的複合成形,當拉深變形的成分占主導地位時,板材r值大,成形性能好。
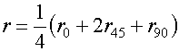
板平面中最主要的三個方向是與軋制方向呈0°、45°和90°,相應地用r0、r45和r90表示。由於不同方向上測得的數值是變化的(圖3),板料的厚向異性係數常用平均值表示。





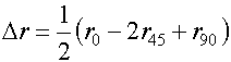
用圓形坯料拉深筒形件,當△r>0時,凸耳出現在0°和90°方向;當△r<0時,凸耳出現在±45°方向;△r=0時,不產生凸耳。由於凸耳的位置與大小和△r有關,所以△r也叫凸耳參數。
