發現
用勺子舀出一勺蜂蜜,停在麵包上方幾厘米的地方,然後將勺子傾斜,讓蜂蜜緩慢下落,形成一股向下流動的細流,並落到麵包片上。蜂蜜沒有馬上鋪散開,而是堆積成一個螺旋狀的結構,類似一堆盤繞的繩索。上世紀50年代末,美國人喬治·巴恩斯(Barnes)和理察·伍德科克(Woodcock)注意到這種現象,將其命名為“卷繩效應”。
實驗
設計
矽油比蜂蜜的粘度變化範圍更寬,粘度是內部摩擦力抵抗流動變形的能力,粘度越大,流體自由流動就越困難。通過實驗設備,控制具體的流動條件(比如流體下落的速率和高度),並觀察這些條件對盤繞頻率 (液體流盤繞一圈的快慢)的影響。
分析
對於流體液柱上的任何一段,主要受到兩種力的作用:向下的重力和流體內部的粘滯力(或摩擦力)。液柱有三種形變方式:拉伸、彎曲和扭曲。對於每一種形變,也都有一種與之對抗的粘滯力。液柱的形狀取決於所有這些力的相對大小以及流體的慣性(即質量乘以加速度)。
定義變數
上方較長的為尾部(Tail),下方較短的盤卷部分為卷繩(Coil),尾部和卷繩的總高度計為H。重力加速度計為g
流體材料的流速計為Q,尾部的頂部半徑計為a0,尾部的底部半徑計為a1,卷繩的繞線角頻率計為Ω。
流體:密度計為ρ,表面張力係數計為γ,運動粘度計為v。
過程
一次實驗裡使用了高粘度(30 000 cSt)矽油,設定較高的流動速率(每秒0.14毫升)和較低的下落高度(3~4厘米),結果偶然得到了這個總是有5條旋臂的星系狀結構。之所以會形成這種結構,是因為卷繩的中心並不固定,而是沿一個圓形軌道轉動。因此,卷繩螺旋部分相鄰的兩環會互相擠壓,在交叉區域形成許多氣泡。交叉點的位置緩慢沿圓形軌道移動,與此同時,氣泡隨著向四周擴散的流體也向各個方向散開。在這兩種運動的共同作用下,形成了氣泡螺旋波紋。但這種現象只在很小的粘度、流動速率和下落高度範圍內才會出現。
用粘度低得多的矽油進行了實驗。結果發現,它們的盤繞頻率最高可達每秒2 000圈,並且會以更加複雜的方式來盤繞甚至“摺疊”。如果沒有外界干擾,它們會一直保持一種盤繞狀態,但如果用指節大力敲擊一些實驗儀器,流體可能會馬上切換到另一種狀態。
在上述所有實驗中,流體下方的界面都是靜止不動的。但如果流體與界面之間存在相對運動又會出現一些新奇的現象。一種名為“流體縫紉機”的設備會通過噴口擠出粘性液體,落在下方勻速行進的水平傳送帶上。當傳送帶行進速度較快時,流體細線在傳送帶上留下一條筆直的跡線。但隨著速度減慢,會出現一些不穩定的複雜圖案,比如曲折蜿蜒的圖案,交替的圓圈圖案,雙螺旋甚至W形圖案。
結果
1.根據重力、慣性力和摩擦力三種力之間不同的平衡情況,下落的粘性流體會出現4種不同的盤繞形態:
卷繩效應
卷繩效應
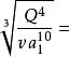
卷繩效應a 粘性模式(Viscous Regime)。當下落高度較低時——4~8毫米——“液繩”好像緩慢擠出的牙膏。流體盤繞的速度如此之慢,以至於相比於粘滯力,重力和慣性力都可以忽略不計。公式:Ω
卷繩效應
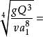
卷繩效應b 重力模式(Gravitational Regime)。當高度在1.5~7厘米之間時,重力開始成為影響因素。流體卷繩由兩部分組成:上方較長的尾部,以及下方較短的盤卷部分。在尾部,重力與抵抗拉伸的粘滯力相平衡。在盤卷部分,重力則與抵抗彎曲的粘滯力相平衡。尾部受力平衡,使得長尾部分看起來好像一條被底部螺旋部分斜拉著的鎖鏈。公式:Ω
卷繩效應
卷繩效應
卷繩效應c 鐘擺模式(Inertio-Gravitatioval Regime)。當高度在7~12厘米之間時,尾部會像鐘擺一樣前後擺動。在大部分高度範圍內,尾部無法自由擺動,因為它實際上是隨著底部流體細流的盤繞而擺動的。但在某些高度,盤繞頻率與尾部的自然擺動頻率恰好相符,在這種正反饋情況下會發生共振。於是,尾部開始繞一個大圓旋轉。公式:Ω
卷繩效應
卷繩效應d 慣性模式(Inertal Regime)。當高度大於15厘米時,尾部幾乎完全垂直,因為底部的螺旋結構無法再給它施加足夠大的側向拉力。在螺旋結構內部,抵抗彎曲的粘滯力幾乎完全被慣性力平衡,重力只扮演次要角色。公式:Ω
2.相比於粘稠的流體,流動性更強的液體可不僅僅只會形成盤繞結構而已。
下面這些例子裡,使用了粘度在400~6 000 cSt的矽油——比蜂蜜更稀,但比水更稠。
卷繩效應a 滯留。當流體粘度較低、下落高度較低、流動速率較高時,流體垂直下落,在金屬板上向四周均勻擴散。生活中常見的流體,比如水和橄欖油,也會這樣。但如果條件恰當,這些流體也可以形成盤繞結構。比如,讓橄欖油從10厘米的高處以每40分鐘1毫升的速度向下滴落,卷繩現象就會出現。
b 旋轉摺疊。“液繩”會周期性的自我摺疊。同時,整個摺疊結構會繞一垂直軸旋轉,產生某種扭曲效果。
卷繩效應c 超纏繞。超纏繞是形容纏在一起的電話線的一種專業說法,指在電話線已有緊密纏繞的結構上進行大的二次纏繞。對流體而言,下落的液流堆積成一個中空的圓柱結構,構成主盤卷,而圓柱結構還從整體上再次進行二次盤卷。二次盤卷的速度比較緩慢,只有主盤卷的十分之一。
詳解
由於內部摩擦力是分子間作用力導致下面一律改用吸引力和排斥力。
卷繩效應左邊的圖像,描述的是流體流到平面上鋪散的情形。像水這種粘度很小的液體,因為水分子之間的吸引力很小,鋪散過程非常迅速。
但是黏稠的液體,分子之間的吸引力較大,鋪散的過程就會慢一些。這導致長方形區域的液體還來不及向四周流逸,而新的液體柱又流了下來。這樣,就會有一部分液體堆積在一起,形成一個類似圓柱一樣的結構。
很明顯,這個液體圓柱的結構不是靜態的。雖然底層以及最外層的液體會不斷流失,看起來像是坍塌一樣,但是上方不斷有新的液體流下來補充,這個圓柱形的累積液柱在動態中得以保持。在動態的平衡中,液體圓柱內部分子之間的引力,對抗圓柱本身的重力以及慣性。如果兩者之間的力量能保持平衡,液體柱的形態就會以上圖表現出來的形式穩定下去。
所以當我們開始向手上傾倒香波的時候,香波就會如圖所示的樣子靜靜的流淌。
當我們將香波瓶子提高一點,讓香波從更高處流出,情況就有了變化。香波液流的長度增加,由於重力加速度,越到下方,液體的直徑越小,速度越大。
回到上面的圖,可以看到,中心的圓柱受到的來自重力以及慣性的壓力在增加,而圓柱的直徑在減小。一旦圓柱的分子間吸引力不足以平衡重力及慣性,這個柱子就會坍塌(failure)。
一根不堪重負的柱子,會產生什麼樣的變化?右圖是它受力時候發生的兩種情況。
先上面後下面,直徑變化很小可以忽略如果這根柱子內部的分子,是完全一樣的,柱子的任意水平切面上,所有的分子受力情況都相同,這根柱子就會像右圖所示那樣壓縮變形(crushing)。兩端所受到的壓力,將使得這跟柱子產生外形的變化(形變),同時在垂直方向上,內部分子之間因為距離縮短,表現為相互排斥,並積蓄勢能。
但是如果情況不是這樣,柱子將會發生什麼變化呢?
卷繩效應肯定有同學玩過左邊這個疊木塊的遊戲。在這個遊戲中,兩個玩家依次從這個木塔中部取出一根木塊,最後誰導致木塔的倒塌,誰就是輸家。整個木塔的重心,保持在中心縱軸上。在某水平切面上,如果和中心縱軸等距離的某處的受力,和其他對稱位置的受力相比,出現足夠大的差異,木塔的重心偏離中心縱軸,木塔就會倒塌。
剛性材料受力過程中發生的折彎(buckling),和這種現象有共通之處。
卷繩效應左邊是一根桿狀材料,在受力之下發生折彎的情景。為什麼剛才說柱子受力會發生壓縮,這裡的桿卻折彎呢?其實如果桿內部物質分布足夠均勻,使得內部力的分布足夠均衡,材料本身的形態也對稱,則只會發生壓縮(crushing),不會發生(buckling)。
可是自然界的物質,幾乎就沒有完全均質的。難道說折彎(buckling)必然會發生?
也不是這樣。只有當材料的長度直徑比(slenderness ratio)達到某一個水平,或者材料內部物質分布的不均勻達到一個程度,應力在中部集中,其受力分布的異常程度能克服材料邊界的限制,突破邊界的折彎才會發生。
卷繩效應流體的液柱,是由一個動態的平衡過程來保持其形態穩定的。在物質不斷更換的過程里,總會有局部的異常形態出現。有時候是一個氣泡,有時候是一個密度較小的團塊,有時候是什麼別的因素。這種內在的異常,破壞了液體內部分子間的引力和液柱重力以及慣性之間的平衡。當這種不平衡的狀態,嚴重到一定的程度,就會導致彎折的發生。如右圖。
卷繩效應原本處於壓縮狀態下的某部分物質,受到側方向的推擠,向阻力最小的方向釋放勢能,先加速後減速遠離中心軸,分子間的壓力隨著離開中軸越來越遠,漸漸轉變成分子間拉力,這股力量同時也作用在即將落下的液體。在重力和慣性協同作用下,液柱向反方向開始新一輪的彎折。最下層的液柱,在往復過程中,內部分子在受壓-牽拉兩種狀態之間來迴轉換,形成振動。表現為在原位的往復。以時間為橫軸,振幅為縱軸的話,形成左圖所示的波動。
左邊長軸,右邊短軸左面這兩張相片,描繪的就是上文中所說的情形。只是我們先看看這個過程發生在一個平面:一道扁平的液柱流淌下來,在長軸方向上,儘管有內部的不均衡存在,但是這種不均衡無法突破較寬的邊界限制,更多地表現為壓縮形變(crushing),即寬度默認不變,而在短軸方向上,內部不均衡易於突破較窄的邊界限制,表現為彎折,形成振動。
正像我們前面說到的,儘管上面這個實驗中長軸具有較寬的邊界,這個障礙也是相對的。一旦液體的黏稠度足夠大,下落的距離足夠高,即使是這樣的寬度,仍然會形成彎折,產生振動。
當我們將液柱的扁平形態變成最常見的圓柱形,我們所觀察到的過程將不限於一個平面內,變得有點複雜,但是本質保持不變。
卷繩效應黏液下落過程中形成的液柱內部,因為局部的不均衡受力,導致液柱向某一個方向彎折,形成最初的振動。
這個振動是在某一個平面內產生的。就像左上圖所示。但在和這個平面垂直的方向看,則沒有振動發生,只是壓縮形變。就像在右邊圖片中所看到的。
卷繩效應在這個平面上,一旦有新的因素,誘發在這個平面內發生彎折,就會出現另外一個波動。
兩者所在的平面相互垂直。前後兩種振動疊加,形成三維振動。如左圖。
實際上,這兩個過程並不是這么截然分開,兩個平面內的振動,一起影響這條液柱的運動形態。各自條件不同,兩個振動的振幅、頻率也不同,產生出來的綜合形態也不同。因此在平面上產生的堆積形變可表現為單純的摺疊(folding),也可表現為花瓣型,也可表現為8字型(figure of eight)。
當兩個平面內的振幅以及頻率趨於一致,堆積則表現為螺旋狀,卷繩效應產生。
現 在,這種現象大部分決定性因素已經得以釐清。卷繩效應的頻率、振幅、卷繩的直徑、黏液的邊界高度、邊界黏稠度以及螺旋堆積能達到的高度,都被計算出來了。
性質
對於不同盤繞形態的實驗發現:
(1)流動速率較低時,流體下落高度越高,盤繞頻率越低
(2)流動速率較高時,流體下落高度越高,盤繞頻率越高
(3)當下落高度固定在某個特定值時,流體卷繩會在兩個不同盤繞頻率間隨機切換
套用
矽油塑像:
矽油等粘性流體落在下方物體表面時,會自發出現盤繞現象。如果速度足夠快,會堆積成一個中空的圓柱結構。圓柱不斷增高,高度達到某個臨界值會發生坍塌,整個過程有重新開始,如此循環往復。

