簡介
負定矩陣是一種特殊的實對稱矩陣。
半負定矩陣
半負定矩陣對於負定實二次型 的矩陣 A。若實二次型 是半負定的,則 f 的矩陣 A 稱為半負定的。
性質
半負定矩陣設 是實二次型,則下列的條件等價:
半負定矩陣1、f 是負定的,即對於任意不全為零的實數組
半負定矩陣2、f 有標準形 而 d 全為正實數 (i=1,2,...,n).
3、f 的負慣性指數為 n.
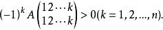
半負定矩陣4、
半負定矩陣5、
負定矩陣
半負定矩陣
半負定矩陣
半負定矩陣
半負定矩陣設 是二次型,對於任意一組不全為 0 的實數 ,如果都有 ,那么 是負定的。
半負定矩陣實對稱矩陣A是負定的,如果二次型 負定。
