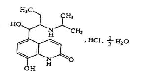
半水合物
此條目暫無內容,歡迎您參與編輯,享受分享知識的樂趣。
此條目暫無內容,歡迎您參與編輯,享受分享知識的樂趣。
>>立即點擊開始編輯條目
優秀百科條目示範:
龍
F1
胡同
香港
周杰倫
亞馬遜河
....
熱門詞條
56網
freestyle
user
《驚天動地60秒》
佐佐木戀海
侵佔罪
八珍湯
劉語熙
力矩
君王2
嗜血破曉
大雷神
廣告設計軟體
彗星瀏覽器
惡魔復仇者
放學別走
末日新世界
濃情四重奏
童話小鎮
第一千個男人
迪塞爾
鄧惠文
釋學誠
麻將三缺一
jennifer
SYNNEX
于右任
伊藤久右衛門
優色林
大將
女神試用期
尋愛計
忍者神龜
河南大饑荒
滅鼠公司
破刃之劍
穎川堂
紅酒燉牛肉
致
袁詠儀
西出陽關無故人
迷霧國度
進口關稅
銀翼殺手2
CT200h
individual
paypal
反恐精英:起源
庫存
狗賊
蕾蕾
說愛你