定義
多面體的多面角都契約,當這些多面角由兩種(及)以上正多邊形構成,則多面體稱為半正多面體。例如把正四面體一條棱各三等分,沿三等分點從原體割去四個小正四面體,餘下的多面體就成為半正多面體,它的多面角都契約,這些多面角都由1個正三角形,2個正六邊形構成。這一半正多面體我們記為3·6 。
半正多面體阿基米德發現了全部13個可能的所謂半正多面體。正多面體的面都是同一類型的正多邊形,而半正多面體是一個凸多面體,它的面也是正多邊形,但並非全都是同一種類型。例如,如果我們從一個立方體a的8個角上各切掉一個邊長為的四面體,結果得到的圖形就是一個半正多面體,或稱阿基米德多面體,其表面由8個等邊三角形和6個正八邊形構成 。
種類
命題半正多面體(表1)有13種:
半正多面體
半正多面體
半正多面體
半正多面體
半正多面體我們用表示每一多面角由r個正m邊形,s個正n邊形,t個正p邊形構成的半正多面體 。
| 種類 | 半正多面體 | 面數F | 頂點數V | 棱數E | 體積為1的棱長 |
半正多面體 | 3·6 | 8 | 12 | 18 | 0.717 |
半正多面體 | 3·4·3·4 | 14 | 12 | 24 | 0.445 |
半正多面體 | 4·6 | 14 | 24 | 36 | 0.263 |
半正多面體 | 3·8 | 14 | 24 | 36 | 0.419 |
半正多面體 | 3·5·3·5 | 32 | 30 | 60 | 0.227 |
半正多面體 | 5·6 | 32 | 60 | 90 | 0.486 |
半正多面體 | 3·4 | 26 | 24 | 48 | 0.751 |
半正多面體 | 3·4 | 38 | 24 | 60 | 0.417 |
半正多面體 | 3·10 | 32 | 60 | 90 | 0.287 |
半正多面體 | 3·4·5·4 | 62 | 60 | 120 | 0.502 |
半正多面體 | 4·6·8 | 26 | 48 | 72 | 0.296 |
半正多面體 | 3·5 | 92 | 60 | 150 | 0.288 |
半正多面體 | 4·6·10 | 62 | 120 | 180 | 0.169 |
命題 半正多面體只有13種。
半正多面體
半正多面體
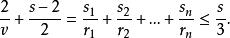
半正多面體證明我們記每一多面角頂點圍繞s個正多邊形,其中s₁個正r₁邊形,s₂個正r₂邊形,......s個正r邊形,s=s+s+...+s,又設此半正多面體中共有個正r₁邊形,個正r₂邊形,....,個正r邊形,則
半正多面體而
半正多面體又
半正多面體把(i)~ (iii)代人Euler示性數公式v+f=e+2,並進行整理,得到半正多面體的特徵方程 :
半正多面體性質
半正多面體有以下性質:
半正多面體性質1,這是顯然的 。
半正多面體性質2中至少有一個應小於6。
半正多面體證明 反證法。如果所有,那么特徵方程將是:
半正多面體故v<0,引起矛盾。
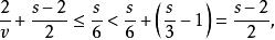
性質3s<6。
證明直接從特徵方程計算,由性質1得
半正多面體
半正多面體解得s<6。
綜合性質1和性質3,我們有
半正多面體(更加細緻的討論請參考相應書籍)。

半正多面體
半正多面體
半正多面體
半正多面體
半正多面體
半正多面體
半正多面體
半正多面體
半正多面體
半正多面體
半正多面體
半正多面體
半正多面體
半正多面體 