簡單介紹
區間數
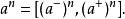
區間數如果用 表示區間的下界, 表示區間的上界,那么區間數X為:
區間數
區間數當 時,區間數X為實數。
性質
設X和Y是兩個區間數,即分別代表了兩個閉區間所表示的實數集合,則X與Y之間的運算由下式定義:
區間數
區間數其中 可以是加減乘除等各種運算 。
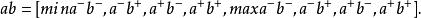
區間數的運算
加法運算
區間數減法運算
區間數乘法運算
區間數除法運算
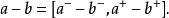
區間數指數關係
區間數其中實數c>1,a為正區間數。
對數關係
區間數其中實數c>1,b為正區間數。
乘方運算
區間數其中a為正區間數。
套用
區間數代表了一種不確定性,目前在各個領域都有著很大的套用潛力。例如里用區間數進行不確定的多屬性決策;將區間數添加到數學規劃之中形成不確定性最佳化模型。

