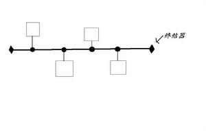
匯流排型拓撲結構的特點如下:
優點:
(1)所需電纜數量較少。
(2)結構簡單,無源工作有較高可靠性。
(3)易於擴充。
缺點:
(1)匯流排傳輸距離有限,通信範圍受到限制。
(2)故障診斷和隔離比較困難。
(3)分散式協定不能保證信息的及時傳送,不具有實時功能,站點必須有介質訪問控制功能,從而增加了站點的硬體和軟體開銷。
匯流排型拓撲結構適用於計算機數目相對較少的區域網路絡,通常這種區域網路絡、的傳輸速率在100Mbps,網路連線選用同軸電纜。匯流排型拓撲結構曾流行了一段時間,典型的匯流排型區域網路有乙太網!

