工作原理
定轉子之間通過電磁感應實現電機運轉
主磁場的建立:
勵磁繞組通以直流勵磁電流,建立極性相間的勵磁磁場,即建立起主磁場。
載流導體:
三相對稱的電樞繞組充當功率繞組,成為感應電勢或者感應電流的載體。
切割運動:
原動機拖動轉子旋轉(給電機輸入機械能),極性相間的勵磁磁場隨軸一起旋轉並順次切割定子各相繞組(相當於繞組的導體反向切割勵磁磁場)。
原理示意圖特徵優點及缺點
優點
耐顛簸震動,噪音低,震動小,運轉平滑,壽命長;
可靠性高,穩定性好,適應性強,維修與保養簡單;
低干擾、不產生火花,特別適合爆炸 性場所,有防爆型;
運轉順暢連續工作時間長;
效率高,電機本身沒有勵磁損耗和碳刷損耗,消除了多級減速耗,綜合節電率可達20%~60%,僅節電一項一年收回購置成本。
1.耐顛簸震動,噪音低,震動小,運轉平滑,壽命長;
2.可靠性高,穩定性好,適應性強,維修與保養簡單;
3.低干擾、不產生火花,特別適合爆炸 性場所,有防爆型;
4.運轉順暢連續工作時間長;
5.效率高,電機本身沒有勵磁損耗和碳刷損耗,消除了多級減速耗,綜合節電率可達20%~60%,僅節電一項一年收回購置成本。
缺點
最大缺點是驅動電路複雜,成本高;
相對永磁電機而言效率和功率密度偏低。
1.最大缺點是驅動電路複雜,成本高;
2.相對永磁電機而言效率和功率密度偏低。
性能測試原理
在文章 提出
動圈感應無刷電機
動圈感應無刷電機
動圈感應無刷電機
動圈感應無刷電機
動圈感應無刷電機動圈式線性電機線圈與運動部件連線,在磁場中做往復運動切割磁力線,產生感應勢。假設線圈正弦運動,順時位移 可以表示為 ,其中, 為線圈位移幅值, 為時間。則感應電勢 與線圈位移的關係為
動圈感應無刷電機
動圈感應無刷電機式中, 為瞬時速度。感應電勢與線圈位移相位差為90°電壓平衡方程式為
動圈感應無刷電機
動圈感應無刷電機
動圈感應無刷電機
動圈感應無刷電機
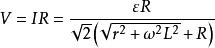
動圈感應無刷電機式中: 為瞬時電流; 為外接阻值; 為線圈中反電勢; 為輸出電勢。輸出電勢有效值為
動圈感應無刷電機線圈位移與輸出電勢有效值得關係為
動圈感應無刷電機套用領域
動圈感應無刷電機以套用到多個領域,如汽車、高壓清洗設備、工業工控、自動化等等。
持續負載套用:
主要是需要一定轉速但是對轉速精度要求不高的領域,比如風扇、抽水機、吹風機等一類的套用,這類套用成本較低且多為開環控制。
可變負載套用:
主要是轉速需要在某個範圍內變化的套用,對電機轉速特性和動態回響時間特性有更高的需求。如家用高壓清洗設備套用轉速穩定且靜音

