定義
動力回響指結構在外力的作用下,結構會發生位移,其內部各個部位會產生應力和應變。
套用
最直觀的套用便是廣義胡克定律。
廣義胡克定律有兩種常用的數學形式:
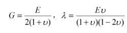
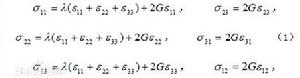
動力回響式中σij為應力分量;εij為應變分量(i,j=1,2,3);λ和G為拉梅常量,G又稱剪下模量。這些關係也可寫為:
動力回響E為彈性模量(或楊氏模量);v為泊松比。λ、G、E和v之間存在下列聯繫:
動力回響式(1)適用於已知應變求應力的問題,式(2)適用於已知應力求應變的問題。
動力回響是力學裡的一個概念,指結構在外力的作用下,結構會發生位移,其內部各個部位會產生應力和應變。
動力回響指結構在外力的作用下,結構會發生位移,其內部各個部位會產生應力和應變。
最直觀的套用便是廣義胡克定律。
廣義胡克定律有兩種常用的數學形式:
動力回響式中σij為應力分量;εij為應變分量(i,j=1,2,3);λ和G為拉梅常量,G又稱剪下模量。這些關係也可寫為:
動力回響E為彈性模量(或楊氏模量);v為泊松比。λ、G、E和v之間存在下列聯繫:
動力回響式(1)適用於已知應變求應力的問題,式(2)適用於已知應力求應變的問題。
《海洋工程流體力學及結構動力回響》是1992年上海交通大學出版社出版的圖書,作者是黃祥鹿、 陸鑫森。本書為中國船舶工業總公司船舶工程教材之一。本書共分十...
圖書摘要 出版信息 圖書目錄岩質邊坡的爆破動力回響機理研究 高邊坡爆破振動動力分析 邊坡爆破動力回響及破壞機理的實驗研究
圖書信息 內容簡介 目錄捷運行車載荷作用下飽和軟粘土的動力回響特性研究圖書由科學出版社出版發行,全書共有179頁。
圖書信息 內容簡介 目錄《爆炸載荷下岩質邊坡動力回響及控制》是2011年科學出版社出版的圖書,作者是鍾冬望。本書是一本關於爆炸載荷下岩質邊坡的動力回響及控制的專著。
內容簡介 目錄在工程計中,常要求了解系統受到衝擊載荷作用後的最大回響值,即振動的位移或加速度的最大值。由於作用時間短暫,計算最大回響值時通常忽略系統的阻尼,使計算結果...
概念 回響譜分析 舉例中企動力科技集團股份有限公司成立於1999年,是香港聯合交易所上市公司中國數碼集團旗下的一家大型股份制高新技術企業,營運總部位於北京,是國內發展最早、規...
企業優勢 企業文化 企業榮譽 大事記諧回響分析用於確定線性結構在承受隨時間按正弦(簡諧)規律變化的載荷時的穩態回響,分析過程中只計算結構的穩態受迫振動,不考慮激振開始時的瞬態振動,諧回響分...
行動力,是指策劃戰略意圖,具備超強的自制力,同時能夠去突破自己,實現自己想做而不敢去做的,或者是自己認為自己能力不足的事,制定計畫就下定決心一定要去實現...
出版信息 內容簡介 作者簡介 目錄 叢書信息