基本介紹
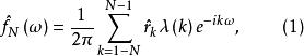
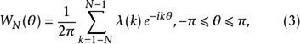
對無限長時間的信號作有限時間截取,稱 加窗處理。加窗譜估計形式為
加窗譜估計
加窗譜估計其中 稱為時域上的 落後窗(時滯窗,lag window)或用
加窗譜估計其中 稱為頻域上的 譜窗函式(spectral window function)。
二者關係如下:
加窗譜估計
加窗譜估計
加窗譜估計譜窗因子的選擇原則和 具有的重要性質可參看有關文獻。
常用譜窗函式
幾種常用譜窗函式如下:
截尾窗
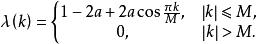
加窗譜估計巴特萊特(Bartlett)窗
加窗譜估計
加窗譜估計丹尼爾窗
加窗譜估計
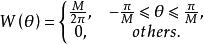
加窗譜估計一般圖凱窗
加窗譜估計
加窗譜估計哈明窗
加窗譜估計哈寧窗
加窗譜估計帕森窗
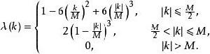
加窗譜估計巴特萊特-普利斯特利窗
加窗譜估計
加窗譜估計
