數學定義
將短時距傅立葉變換中的窗函式代入高斯函式,即可得下面的定義。
加伯轉換根據高斯函式會從兩側遞減的性質,我們可以將上式進一步化簡:
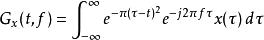
加伯轉換
加伯轉換讓積分範圍不是無限大,有利於實作。
為何選擇高斯函式作為窗函式
其他窗函式的短時距傅立葉變換,如短時距傅立葉變換提到的方形窗函式,無法同時兼顧時間軸和頻率軸的解析度;一者解析度提升,另一者解析度必定下降。但高斯函式由海森堡測不準原理可得知,是最能同時讓兩軸兼顧解析度的窗函式(將於下個章節詳述)。
高斯函式為傅立葉轉換的特徵函式,因此經過轉換後其性質不變。因此可讓加伯變換後在時間軸和頻率軸的性質相互對稱。
1.其他窗函式的短時距傅立葉變換,如短時距傅立葉變換提到的方形窗函式,無法同時兼顧時間軸和頻率軸的解析度;一者解析度提升,另一者解析度必定下降。但高斯函式由海森堡測不準原理可得知,是最能同時讓兩軸兼顧解析度的窗函式(將於下個章節詳述)。
2.高斯函式為傅立葉轉換的特徵函式,因此經過轉換後其性質不變。因此可讓加伯變換後在時間軸和頻率軸的性質相互對稱。
加伯變換的一般化
加伯轉換由於高斯窗函式的寬度可以由其變異數做調整,因此我們將這個參數加入加伯變換的數學式子中 ,讓轉換更加彈性。
加伯轉換
加伯轉換改變高斯函式的寬度,和改變方形窗函式短時距傅立葉變換的效果類似。若選取較大的 ,高斯窗函式較窄,則時間軸有較高的解析度,頻率軸的解析度會下降。反之,若選取較小的 ,高斯窗函式較寬,則時間的解析度下降,頻率軸的解析度會上升。雖然還是有兩軸之間的解析度的犧牲,但比起其他無法滿足測不準原理下限的窗函式,加伯變換的兩軸還是能相對維持較高的解析度。
離散Gabor變換
Gabor表示的離散版本
加伯轉換
加伯轉換
加伯轉換
加伯轉換通過在這些方程中離散Gabor基函式,可以很容易地推導出。由此,連續參數t被離散時間k代替。此外,必須考慮Gabor表示中現在的有限求和極限。以這種方式,採樣信號y(k)被分成長度為N的M個時間幀。根據,臨界採樣的因子Ω是
類似於DFT(離散傅立葉變換),獲得分成N個離散分區的頻域。然後,這N個頻譜分區的逆變換導致時間窗的N值y(k),其由N個樣本值組成。對於具有N個樣本值的整個M時間視窗,每個信號y(k)包含K = N·M個樣本值:(離散Gabor表示)
加伯轉換
加伯轉換
加伯轉換根據上面的等式,N·M係數對應於信號的樣本值K的數量。
加伯轉換
加伯轉換對於過採樣設定為與N '> N,其導致離散Gabor表示的第二和中的N'> N個求和係數。在這種情況下,獲得的Gabor係數的數量將是M·N'> K.因此,可獲得比樣本值更多的係數,因此將實現冗餘表示。
套用例子
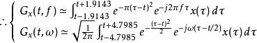
Gabor變換的主要套用用於時頻分析。以下面的等式為例。當t≤0時,輸入信號具有1Hz頻率分量,當t> 0時,輸入信號具有2Hz頻率分量
加伯轉換但如果可用的總頻寬是5Hz,則除了x(t)之外的其他頻帶被浪費。通過套用Gabor變換進行時頻分析,可以知道可用頻寬,並且可以將這些頻帶用於其他套用並節省頻寬。右側圖片顯示輸入信號x(t)和Gabor變換的輸出。正如我們所期望的那樣,頻率分布可以分為兩部分。一個是t≤0而另一個是t> 0.白色部分是x(t)占用的頻帶,不使用黑色部分。注意,對於每個時間點,存在負(上白部分)和正(下白部分)頻率分量。
