平衡及初穩性
圖1如圖1所示,當船舶受外力作用,發生傾斜時,水線由WL變為WL,浮心由B移至B,而此時排水量△和重心G位置不變,重力與浮力不再作用在同一鉛垂線上,因而產生了一個力矩,稱為復原力矩。當外力消失時,復原力矩會使船舶回復到原來的平衡位置,船舶的這種性能稱為穩性。這是關於穩性的傳統定義。考慮到船舶在風浪中的運動及動力效應,近代穩性定義為船舶在風浪的作用下保持其不翻(或防止翻船)的機率。
當船舶橫向微傾時,復原力矩的大小可用下式表示:
初穩性當M點高於G點時,初穩性高GM>0,復原力矩為正值,它抵抗船舶的橫傾。
當M點低於G點時,初穩性高GM<0,復原力矩為負值,它使船舶繼續橫傾。
M點稱為船舶的橫穩心。
同樣,在船舶縱傾時也存在縱向的復原力矩和縱穩心。船舶縱傾時的穩性稱為縱穩性。
造成船舶離開原來平衡位置的傾側力矩可以由風、浪的作用、船上貨物的移動、旅客集中一舷、拖船的急牽以及船舶的迴轉等因素產生。
若傾側力矩的作用是從零開始逐漸增加的,船舶傾斜時的角速度很小,可以忽略,這種傾斜時的穩性稱為靜穩性;若傾側力矩突然加於船上,船舶傾斜時有明顯的角速度變化,則這種傾斜時的穩性稱為動穩性。
傾斜角在0°到10°~15°範圍內或0°到上甲板邊緣入水角範圍內(取其小者)的穩性稱為初穩性或稱為小傾角穩性;傾斜角超出上述範圍的穩性稱為大傾角穩性。
各因素影響
移動小量載荷對初穩性及浮態的影響
若船上的某一載荷P(假定P小於5%~10%的排水量)沿縱向、橫向和垂向分別移動δ,δ,δ(向首、向右、向上為正),則船的初穩性和浮態變化如下:
初穩性初穩性高的變化:
初穩性橫傾角的變化:
初穩性首吃水的變化:
初穩性尾吃水的變化:
式中:
P——載荷(t);
δ,δ,δ——載荷P的三向位移(m)。
增加或卸掉小量載荷對初穩性及浮態的影響
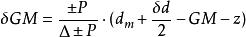
在船上某一位置(x,y,z)增加或卸掉某一載荷 P 時,船舶的初穩性和浮態變化如下:
初穩性平均吃水的變化:
初穩性初穩性高的變化:
初穩性橫傾角的變化:
初穩性首吃水的變化:
初穩性尾吃水的變化:
初穩性
初穩性或 分別為增加或卸掉載荷的情況。
懸掛載荷對初穩性的影響
船上懸掛載荷對船舶的穩性會產生不利的影響。懸掛載荷引起的初穩性高損失為
初穩性式中:P——懸掛載荷(t);
初穩性——懸掛載荷重心到懸掛點的距離(m)。
船舶進塢及擱淺時的穩性
1)船舶進塢時的穩性
圖2船舶進塢時的穩性和船舶承受的反作用力,如圖2所示。船舶未擱塢墩時的水線為WL,此時的縱傾值假定為t;當船舶即將完全座落在墩上時,此時吃水線為WL,縱傾為0,船舶所承受的墩的反作用力R達到最大值R。
初穩性式中:x——R力作用點的x坐標(m);
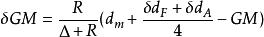
船舶的初穩性高的變化可近似地按下式計算:
初穩性式中d,△,GM及T 4個數據均是即將擱塢墩時的參數。
船舶出塢時的情況與進塢時相類似。
2)船舶擱淺時的穩性
圖3船舶擱淺時的穩性、所承受的反作用力和接觸點位置見圖3。
船舶擱淺時假若所承受的反作用力不很大,船舶也未破損,擱淺前後船舶浮態的變化可以用實測得到。
在這種情況下:
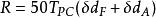
初穩性船舶所承受的反作用力:
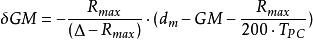
初穩性船舶初穩性高的變化:
初穩性接觸點的橫坐標:
初穩性接觸點的縱坐標:
式中δd,δd——擱淺前後首、尾吃水的變化(m)。
初穩性式中所有參數除 為擱淺後船舶橫傾角的變化外,其他均為擱淺前的數值。
需注意,上述公式求出的R為負值(如圖所示的情況,首吃水的減少量大於尾吃水的增加量),其物理意義可看作為船上卸掉一個載荷,從而船舶的初穩性也減小了。

