概念
對具有初應變的彈性問題,其應力應變關係是:
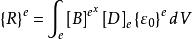
初應變法由此根據變分原理可得有限元素法計算格式:
初應變法
初應變法其中 為初應變數,它由元素初應變向量
初應變法按有關的貢獻疊加而成。
類似的,我們可把彈塑性應力應變關係寫成:
初應變法
初應變法
初應變法而這兒的初應變增量 就是塑性應變增量 。
計算原理
對於整個有限元體系,可以從上式集成為:[K]{δ}={R}-{Ro}
上式表明:如果存在初應變,形成的有限元方程中僅僅是在荷載項中增加了一項。
根據這一原理,有限非線性分析中可以將非線性的應力-應變關係變化為:{σ}=[D]({ε}-{εo})。其中:{ε}為總應變,{εo}則為塑性應變。
具體計算過程如下:
1,先令{Ro}=0,通過荷載平衡解出第一次的位移近似解,及應變、應力近似解,通過非線性的本構關係和應力確定的應變解,該應變解與近似解之差,即為{εo}。然後按照上述的原理中的方法,即可得到增加的荷載項{R1},以此類推。
缺陷
初應變法的優點是收斂速度快,尤其是與餘量疊代法聯合使用時。但是,其缺點是當應力水平較高時(尤其是應力-應變曲線接近水平時)。計算穩定性太差。

