定理內容
連續系統中初值定理
設連續函式f(t)不含δ(t)及其各階導數,且有:
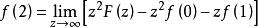
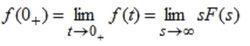
初值定理則初值定理可表示為:
初值定理初值定理說明了:當滿足一定使用條件時,可由S域的象函式直接得到時域連續函式f(t)的初值。
典例
初值定理
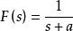
初值定理如函式f(t)的象函式 , 。
求原函式f(t)的初值。
初值定理解:由初值定理,得: ;
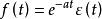
初值定理由F(s)的原函式 ,顯然以上結果對a>0或a<0都是正確的。
離散系統中初值定理
初值定理適用於右邊序列,即適用於k<M(M為整數)時f(k)=0的序列。它用於由象函式直接求得序列的初值f(M),f(M+1),…,而不必求得原序列。
定理內容
如果序列在k<M時,f(k)=0,它與象函式的關係為:
初值定理則序列的初值 :
初值定理
初值定理
初值定理若M=0,即f(k)為因果序列,這時序列的初值為:
初值定理
初值定理
初值定理典例
初值定理某因果序列的z變換為(設a為實數): ,
初值定理求 。
解:利用初值定理可得
初值定理
初值定理
初值定理
初值定理上述象函式的原序列為 ,可見以上結果對任意實數a均正確。
學習難點建議
難點:現有的多數教材與參考書均直接給出了定理的使用條件和證明過程的敘述方式,並未解釋為何使用定理時需要條件的限定,而且在證明過程中,往往迴避了連續信號中含有衝激函式項的情況。這樣的處理方式割裂了定理使用條件和定理內容之間的聯繫,使讀者在學習過程中感到十分困惑 。
建議:首先從兩個定理的使用條件出發,分析特定象函式的拉普拉斯逆變換; 其次尋找定理使用條件與定理本身之間的關聯; 最後再給出定理的嚴格證明,即先從頻域到時域進行引導,再從時域到頻域證明 。
注意事項
1.初值定理使用條件是要求連續函式f(t)不含衝擊函式δ(t)及其各階導數,或者象函式F(s)為真分數。當象函式為真分式時,根據初值定理可直接由象函式得出函式的初值 。
2.若連續函式f(t)中含有衝擊函式δ(t)及其各階導數時,衝擊函式項對f(t)的拉氏變換從左側趨於0到右側趨於0的變化時會造成影響,結果為 :
初值定理3.利用換路後電路的s域模型和初值定理求初始值,事先不需要考慮電路的電感電流或電容電壓是否發生突變,不管是一階電路還是二階以上的高階電路,也不管是何種電源作用於電路,這種方法都適用 。
初值定理例題
