定義
分類檢驗法(grading test)是在確定產品類別標準的情況下,要求評價員在品嘗樣品後,將樣品劃分為相應的類別的感官檢驗方法。試驗中,評價員首先對產品做出評價,然後統計每一種產品分屬每一類別的頻數,以χ檢驗比較兩種或多種產品落入各種類別的分布,最終確定每一種產品應屬的級別。它是先由專家根據某樣品的一個或多個特徵,確定出樣品的質量或其他特徵類別,再將樣品歸納人相應類別的方法或等級的辦法。此法是使樣品按照已有的類別劃分,可在任何一種檢驗方法的基礎上進行。
適用範圍
在評定樣品的質量時,有時對樣品進行評分會比較困難,這時可選擇分類檢驗法評價出樣品的差異,得出樣品的級別、好壞,也可鑑定出樣品是否存在缺陷。
特點
(1)此法是以過去積累的已知結果為根據,在歸納的基礎上進行產品分類。
(3)當樣品打分有困難時,可用分類法評價出樣品的好壞差異,得出樣品的級別,也可以鑑定出樣品的缺陷等。
評價員
所需要的評價員數目為三個以上專家或者三個以上優選評價員。分類檢驗評價員的考核 :
分類正確性考核
讓候選評價員分別評價一組包括感官指標合格與不合格的P個樣品。合格用數字0表示,不合格用數字1表示。統計分類正確的數字,進行二項式分布檢驗,考核候選評價員分類的正確性。
分類穩定性考核
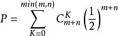
經過一段時問,對同一樣品組讓某一候選評價員重複進行分類正確性考核,然後進行Mcnemar檢驗,以考核該候選評價員的分類穩定性。具體做法如下:
(1)對所評價的樣品按前後兩次檢查結果分為(0,0),(1,1),(0,1),(1,0)4類。統計結果為(0,1)的個數記作m,結果為(1,0)的個數記作n。
(2)計算機率
分類檢驗式中:
min(m,n)—m與n中的最小者
C —m+n個元素中K個元素的組合
(3)若所得機率P小於指定的顯著性水平,則認為該候選評價員缺乏穩定的判別能力,必須更換或再培訓。若所得機率P大於指定的顯著性水平儀,則認為該候選評價員通過了這次檢驗。
組織設計
(1)產品級別分類標準的確定
在確定採用分類檢驗法後應確定將產品劃分的類別的數量,並制訂出每一類別的標準。不同的產品分類的方法不同,分類的標準也不一樣。
(2)評分表的準備
在分類檢驗法的評分表中,要給評價員指明產品分類的數量及分類的標準。然後將樣品用三位隨機數字進行編碼處理。
(3)樣品呈送
樣品呈送時,以隨機的順序出示給評價員,要求評價員按順序鑒評樣品後,根據鑒評表中所固定的分類方法對樣品進行分類。
結果與分析
(1)檢驗結果的統計
在所有評價員完成評價任務後,由實驗員將每位評價員的結果統計在表格中,這樣就可很直觀地看出每個樣品各級別的評價員的數量,結果的分析就是基於每一個樣品各級別的頻數。
分類檢驗結果的統計表
| 樣品 | 一級 | 二級 | 三級 | 合計(R) |
| A | (R) | |||
| B | (R) | |||
| C | (R) | |||
| D | (R) | |||
| 合計(C) | (C) | (C) | (C) | (n) |
(2檢驗結果的分析
分類檢驗可採用χ檢驗。統計表為R×C列聯表格式,其中R為樣品數(行數),C為分類(組別)數(列數)。統計每個樣品通過檢驗後分後每一級別的評價員的數量,然後用χ檢驗比較兩種或多種產品不同級別的評價員的數量,從而得出每個樣品應屬的級別,井判斷樣品間的感官質量是否有差異。
(3)實例分析
現有4種不同工藝生產的同類型的果汁飲料,根據不同的質量標準分為3級,擬通過分類檢驗法對4種產品的質量進行檢驗,據此判斷不同的加工方法對產品質量是否有明顯的影響。4種產品分別用A、B、C、D表示,試挑選了28位評價員,檢驗的結果見下表。對上述結果進行分析,判斷4種產品的感官質量是否有明顯的差異。
分類檢驗的統計結果
| 樣品 | 一級 | 二級 | 三級 | 合計 |
| A | 8 | 12 | 8 | 28 |
| B | 12 | 10 | 6 | 28 |
| C | 13 | 11 | 4 | 28 |
| D | 7 | 9 | 12 | 28 |
| 合計 | 40 | 42 | 30 | 112 |
①計算各級別的期望值(E) E可用下面的公式計算:
E=該等級的次數/總人數×評價員的數量
根據上述公式計算出各級別的期望值如下:
E=40/112×28=10,同理,E=10.5,E=7.5
②計算每個樣品相應級別的實際值(Q)與期望值(E)之差(z),結果列入表
各級別期望值與實際值之差
| 樣品 | 一級 | 二級 | 三級 | 合計 |
| A | -2 | 1.5 | 0.5 | 0 |
| B | 2 | -0.5 | -1.5 | 0 |
| C | 3 | 0.5 | -3.5 | 0 |
| D | -3 | -1.5 | 4.5 | 0 |
| 合計 | 0 | 0 | 0 | 0 |
③計算x值X值用下列公式計算。
分類檢驗=(-2) /10+(2) /10+(3) /10+.....4.5 /7.5=7.75
④結果判斷根據計算的結果,查附錄中的x 表。如果計算出來的大於或等於相應顯著性水平下的x 值,則表明樣品間有顯著性的差異。然後根據檢驗的情況對產品進行分級。
本例中,誤差自由度df=樣品自由度(R-1)×級別自由度(C-1)=6,查x 得,x =12.59>7.75,因此,這4種果汁飲料的感官質量沒有明顯的差異。
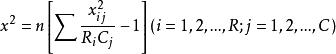
對於R×C列聯表數據進行檢驗也可以用以下公式直接計算x 值:
分類檢驗將分類檢驗的結果按照上述公式直接計算:
x =112×[(8 /28×40+12 /28×42+8 /28×30+...+12 /28×12)-1]=7.75

