名稱
分類商品價格指數簡介
分類商品價格指數亦稱商品價格類指數又稱組指數或類指數,是指反映某一類商品或勞務集團價格水平變動趨勢和程度的相對數指標。
分類商品價格指數的計算
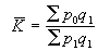
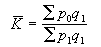
類指數是一個相對概念。有大類指數和小類指數之分。每類商品集團包括的範圍可大可小,歸入本類的商品可多可少。例如中國編制零售物價指數中的“食品類”,就包括糧食、副食品、肉禽蛋、水產品等6小類,每個小類又包括很多具體商品。類指數是從商品流轉總額中排除商品物量變動因素後計算的,一般以報告期商品流轉物量作為同度量因素,採用綜合價格指數公式計算:
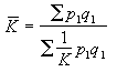
分類商品價格指數也可根據單項商品價格指數進行計算,即按調和平均數公式計算:

式中K是單項商品價格指數,其經濟內容和計算結果同綜合公式計算的結果相一致。
分類商品價格指數雖然單項商品價格指數是根據樣品的報告期和基期平均價格計算的,但其權數(p1q1) 則是根據其所代表的商品類的流轉總額確定的。因此類指數能夠反映該類全部商品價格總水平的實際變動情況。

