分集技術
分集的形式可分為兩類,一是顯分集,二是隱分集。顯分集是明顯地採用多套設備在不同空間、不同頻率、不同極化方向、不同時間接收合併而成。而隱分集是將分集作用隱含在被傳輸的信號中。
移動通信無線傳播環境惡劣的主要原因是存在多徑衰落和陰影衰落。隨著移動台的移動,瑞利分布的多徑衰落隨信號瞬時值快速變動,而對數常態分配的陰影衰落隨信號平均值(中值)變動。分集就是在若干個支路上接收相互間相關性很小的載有同一訊息的信號。對這些不同支路的信號作適當處理後,就可在接收終端上大大降低深衰落的機率。
所以,分集技術所要研究的內容是如何將實際的衰落信道中的信號能量有效地收集起來的方法。分集的方法包括空間分集、頻率分集、時間分集和極化分集。
(1)空間分集
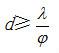
空間分集具體實現的方法就是以N根處於不同空間的天線同時接收一副天線發射的信號。如圖1所示。
圖1 N=2時的空間分集接收天線之間的距離d應滿足
分集和合併技術式中:為波長;為天線擴散角,遠處山丘和高大建築物的反射會使信號在空間角度上產生擴散,在城市中,約為20°。
利用接收機天線進行分集,除了具有抗衰落和抗干擾功能外,還有利於均衡接收機噪聲。比如,當基站接收機採用天線分集時,就可以通過提高上行鏈路的噪聲受限範圍來提高小區的覆蓋範圍。
(2)移動通信中的基站顯分集
基站顯分集是由空間分離的幾個基站以全覆蓋或部分覆蓋同一區域來實現空間分集的。如圖2所示。
圖2 基站顯分集基站顯分集又稱多基站分集,各基站可以分別獨立接收移動台的信號,經合併後衰落的影響將被大幅度減小。移動台也同時接收各基站的信號,並把收到的各基站的信號合併。由於有多重信號可以利用,就大大減小了衰落的影響。
電波傳播路徑不同,地形地物對電波傳播產生的陰影效應也不同,所以經過獨立衰落路徑傳播的多個慢衰落信號是互不相關的,各信號同時發生深衰落的機率很小。
(3)頻率分集
頻率分集是將同一調製信號用不同的載波進行傳送,當載波間隔大於等於相干頻寬時,接收端就能對兩個不同載波的信號進行分集接收,從而提高接收信號質量。
(4)時間分集
如果將要傳送的信號每隔一定時間間隔重複傳送N次時,接收端就可得到相應的N個分集支路信號。這就是時間分集。傳送的時間間隔應滿足:
分集和合併技術Δt≥
式中:B為都卜勒頻率擴散,在城市中一般為120Hz。
(5)極化分集
對在同一地點兩個極化方向相互正交的天線發出的具有不相關的衰落特性的信號進行分集接收,稱為極化分集。
分集合併技術
採用分集方法在接收端得到的N個獨立支路信號,主要可採用三種不同形式的合併技術來獲得分集增益,它們是最大比值合併、等增益合併和選擇式合併。
(1)最大比值合併
當分集數為N時,合併就是將N個支路的相位調整到一致,按照適當的增益同相相加後,再送入檢測器進行檢測。
合併增益與分集支路數N成正比。
(2)等增益合併
等增益合併就是將各支路信號相位調整為一致,且各支路增益是相等的,然後進行相加。當支路數N較大時,等增益合併與最大比值合併相差約1dB,但等增益合併的複雜性要小。
(3)選擇式合併
選擇式合併就是利用選擇邏輯選擇N個分集支路的接收機中具有最大基帶信噪比的某一路基帶作為輸出。
移動台採用選擇合併方法實現分集合併時,對基站顯分集群內各基站來的信號進行分析,以判決哪一信號最佳,將此判決信息傳送給各分集基站,僅使所選基站傳送實際信息;也可採用天線輸入合併法,即合併在天線的輸入端進行,而且是對各種多徑反射信號的合併。採用這種方法進行合併在傳輸速率較高時,需要對各基站信號實施時間校準,使各種信號同時到達移動台。
在基站顯分集中,移動台要同時與遠近不一的各基站通信,需要進行時間調節,或者在防護時間中安排額外餘量。
基站顯分集群中基站間的距離越大(如在較大的小區中),需要的額外保護時間也越大。當數據速率較高時,額外開銷更大。
基站顯分集在微小區的環境中能發揮它的優勢。例如,當移動台轉過街角時,信號電平會急速跌落,這時必須立即進行越區轉接另一基站,或者必須提供基站顯分集。也就是說,基站顯分集在某些情況下可作為越區切換的一種替換。
基站顯分集還能替代傘形區來提高服務區內覆蓋機率(99%以上),使頻譜效率提高。因為傘形區需要大量可用的頻譜。前提是小區系統內的越區切換過程很快,而且網路中無需任何額外信令,就可以經常使用越區切換,以便使慢衰落和小區邊界信號的迅速劣化最小。
