基本介紹
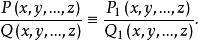
兩個代數分式
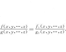
分式恆等式與
分式恆等式若對於所有(已知數域內)自變數值,均使恆等式PQ≡PQ成立,則稱這兩個代數分式為恆等的,即
分式恆等式任何代數分式P(x,y,…,z)/Q(x,y,…,z)都有和它恆等的既約分式p(x,y,…,z)/q(x,y,…,z)≡P(x,y,…,z)/Q(x,y,…,z),除分子分母的(在所設數域內的)數值公因子外,這既約分式(即“最簡分式”)是唯一的 。
分式恆等式的證明
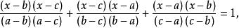
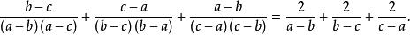
分式恆等式的證明題,其證法常有:從左到右、從右到左、“左右開弓”(即證明左右兩邊都等於同一式子),還有求差法(即證明左邊-右邊=0)、求商法(即證左邊÷右邊=1)、反證法及等價命題法等,對於左邊複雜,右邊簡單,可考慮“從左到右”的證法;另外,對於一個含有未知數的等式,如果它不是方程(包括矛盾方程)那么它一定是恆等式(換句話說,就是:如果一個n次方程,有不只n個的未知數的值能使方程兩邊的值相等,那么它必是一個恆等式),此法稱為“反證法”。例如要證明恆等式
分式恆等式採用“反證法”證明的話,因為原式對於x來說至多是一個二次的等式,所以它若是x的方程的話,那么它至多有兩個根,然而,當x=a、b、c時,原式都成立,而a、b、c又互不相等,所以這個等式不是x的方程,而是x的恆等式 。
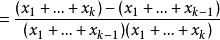
分式恆等式【例1】求證:
分式恆等式分析
分式恆等式據此將原式變形後即可得證 。
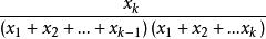
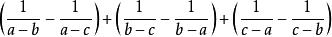
分式恆等式證明:左式=
分式恆等式【例2】求證:
分式恆等式
分式恆等式
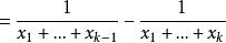
分式恆等式分析 由
分式恆等式
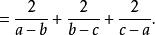
分式恆等式即可得證。
分式恆等式證明
分式恆等式
分式恆等式
