數學名詞
分割亦稱分劃、分法,是一個區域的分解方法。
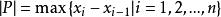
分割[漢語辭彙]把直線上的區間(或 R'' 中的區域、曲面、曲線以至一般集合)分解為有限個至多有公共邊界點的子區間(或子區域、小塊曲面、小段曲線、子集)的並集,這些子區間(或子區域等)組成的集合即成為原區間(或區域等)的一個分法,若用 P 記直線上區間 [a,b] 的一個分法,則它是由取分點 x=(i=0,1,2,...,n),使滿足 a=x<x<...<x=b,而將 [a,b] 分成 n 個小區間點集合,數 稱為分法 P 的模(或細度),若 P,P 都是 [a,b] 的分法,且 P 中的區間都是 P 中區間的子區間,則 P 稱為 P 的加密或細分,若 E 是 R 中的若爾當可測集,則其分法 P={E,E,...,E},其中 E (i=1,2,...,k) 都是 E 的若爾當可測的子集,各 E 互相間至多有公共的邊界點,它們的最大直徑稱為 P 的模,記為 |P|。加密的含義同上,曲面、曲線的分法與此類似,注意分出的必須也是曲面、曲線。
分割的概念主要用以定義各類積分。
漢語釋義
基本信息
【拼音】fēn gē
【英譯】[cut apart;break up]
【基本解釋】把整體或有聯繫的東西分開。
【同義詞】切割
【反義詞】合併
引證解釋
1、強為區分;強行分離。
《荀子·富國》:“人之生不能無群,群而無分則爭。爭則亂,亂則窮矣……古者先王分割而等異之也,故使或美或惡,或厚或薄,或佚或樂,或劬或勞。”
《隋書·北狄傳·突厥》:“往者魏道衰敝,禍難相尋,周齊抗衡,分割諸夏。”
梁思成《曲阜孔廟》:“孔廟正門緊挨在縣城南門裡,廟的後牆就是縣城北部,由南到北幾乎把縣城分割為互相隔絕的兩半。”
吳組緗《山洪》二八:“他們認為宣傳工作和組織工作不可以分割,兩者必須緊連。”
2、猶分裂。
明 李贄《復鄧石陽》:“苟有子,則老來得力,病困時得力……五內分割、痛苦難忍時得力。”
3、猶分占;分享。
《史記·吳王濞列傳》:“大王有幸而臨之,則天下可並,兩主分割,不亦可乎?”
宋 楊萬里《題十里塘夜景》詩:“老夫與明月,分割一清灣。”
清 顧炎武《淮東》詩:“詔封四將軍,分割河淮土。”
4、軍事上指進攻軍隊把敵人的作戰部署割開成幾塊,使其分散孤立,以便各個殲滅。
分割,將一份圖稿分割為作為其構成成分的填充表面(表面是未被線段分割的區域)。
![分割[漢語辭彙] 分割[漢語辭彙]](/img/1/fb8/nBnauM3XyAzNzMjNwUzN0ETN1UTM1QDN5MjM5ADMwAjMwUzL1czLwEzLt92YucmbvRWdo5Cd0FmL0E2LvoDc0RHa.jpg)
